极限符号

pi notation 大写π标记法 口语表达: 中文名称:求极限 相关符号
图片尺寸640x260
跟极限相似的一个符号,这是让求什么呢,求解答
图片尺寸1600x900
怎么写极限符号lim既快速又美观
图片尺寸514x339
无限符号图标无限无限
图片尺寸1100x1158
p>极限值就是一个 a href="#" data-lemmaid="301912">函数 /a>,当它
图片尺寸747x522
关键词:无穷大符号 极限 绝对无限 数字 箭头 数学 科学 设计 广告
图片尺寸991x987
数学中的极限的概念的是什么?
图片尺寸640x320
png无限符号标志剪辑艺术-无穷大图片
图片尺寸750x750
无穷大或无限符号在灰色-矢量标志图标
图片尺寸700x700
黑色无限符号图标.概念无限,无限,无穷.简单的平面矢量设计元素
图片尺寸1200x582
极限lim√(4x^2 1) ln(1 1/x)/(-x 2sinx) x趋于负无穷大
图片尺寸1600x900
关键词:无穷大符号 极限 绝对无限 数字 数学 科学 设计 广告设计矢量
图片尺寸967x963
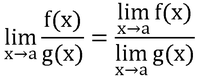
求极限时,谨慎拆分函数
图片尺寸650x250
关键词:无穷大符号 极限 绝对无限 数字 数学 科学 设计 广告设计矢量
图片尺寸967x963
jtl-初等数学,高等数学常见符号含义
图片尺寸677x801
极限lim(x趋向于正无穷大)根号下(4x 3x)-2x
图片尺寸593x664
无限符号矢量图标
图片尺寸1100x1100
01 片_百度百科
图片尺寸465x172
latex求和符号上下标如何用latex编写不同格式的求和极限积分式
图片尺寸1440x1171
3上下极限符号
图片尺寸405x178