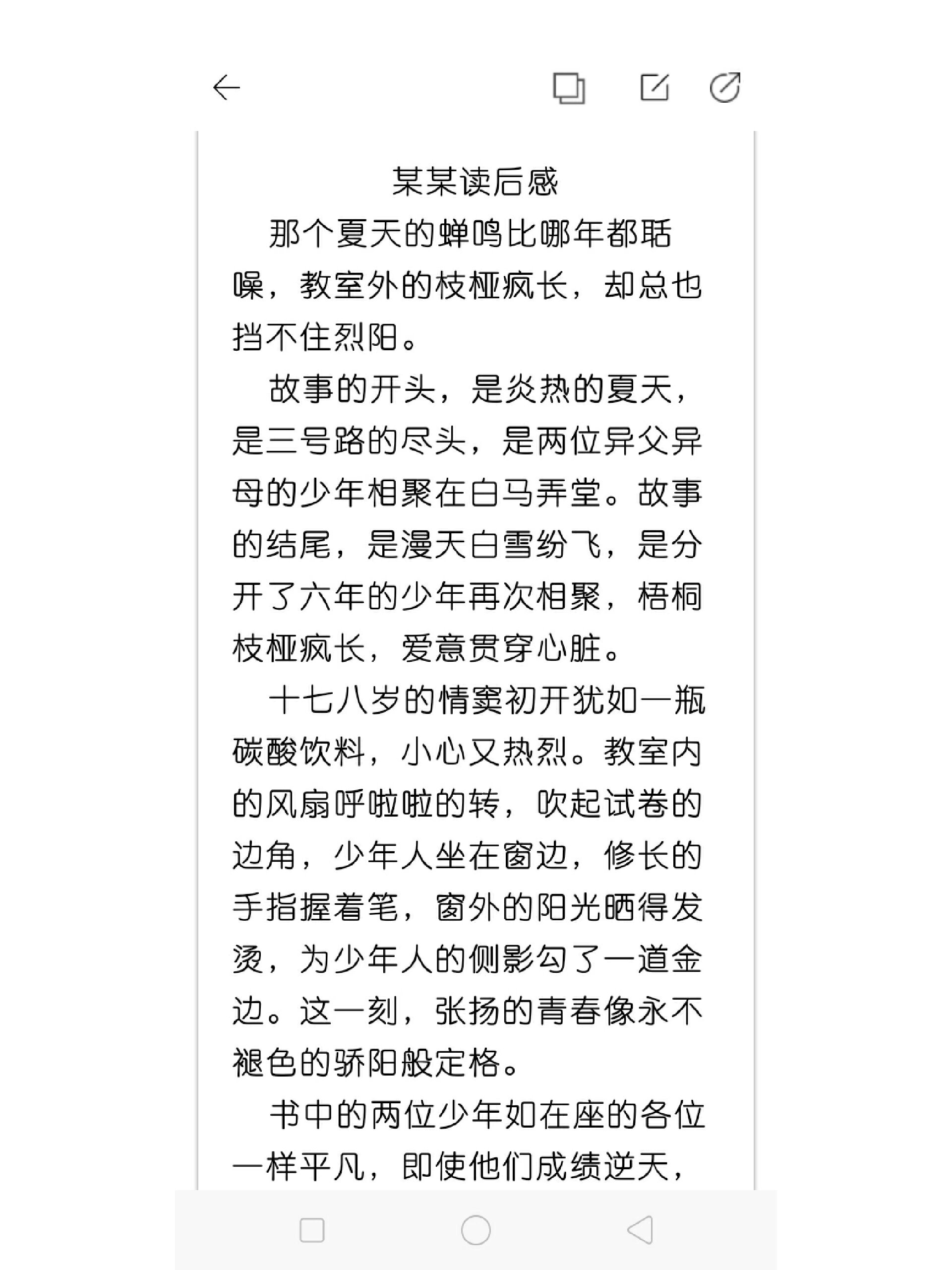
某某读后感

《某某》读后感—江添篇 江添永远不会不爱盛望
图片尺寸960x1280
某某读后感来啦 我们相遇在夏天,而夏天从未结束92
图片尺寸1920x2492
《某某》读后感—江添篇 江添永远不会不爱盛望
图片尺寸960x1280
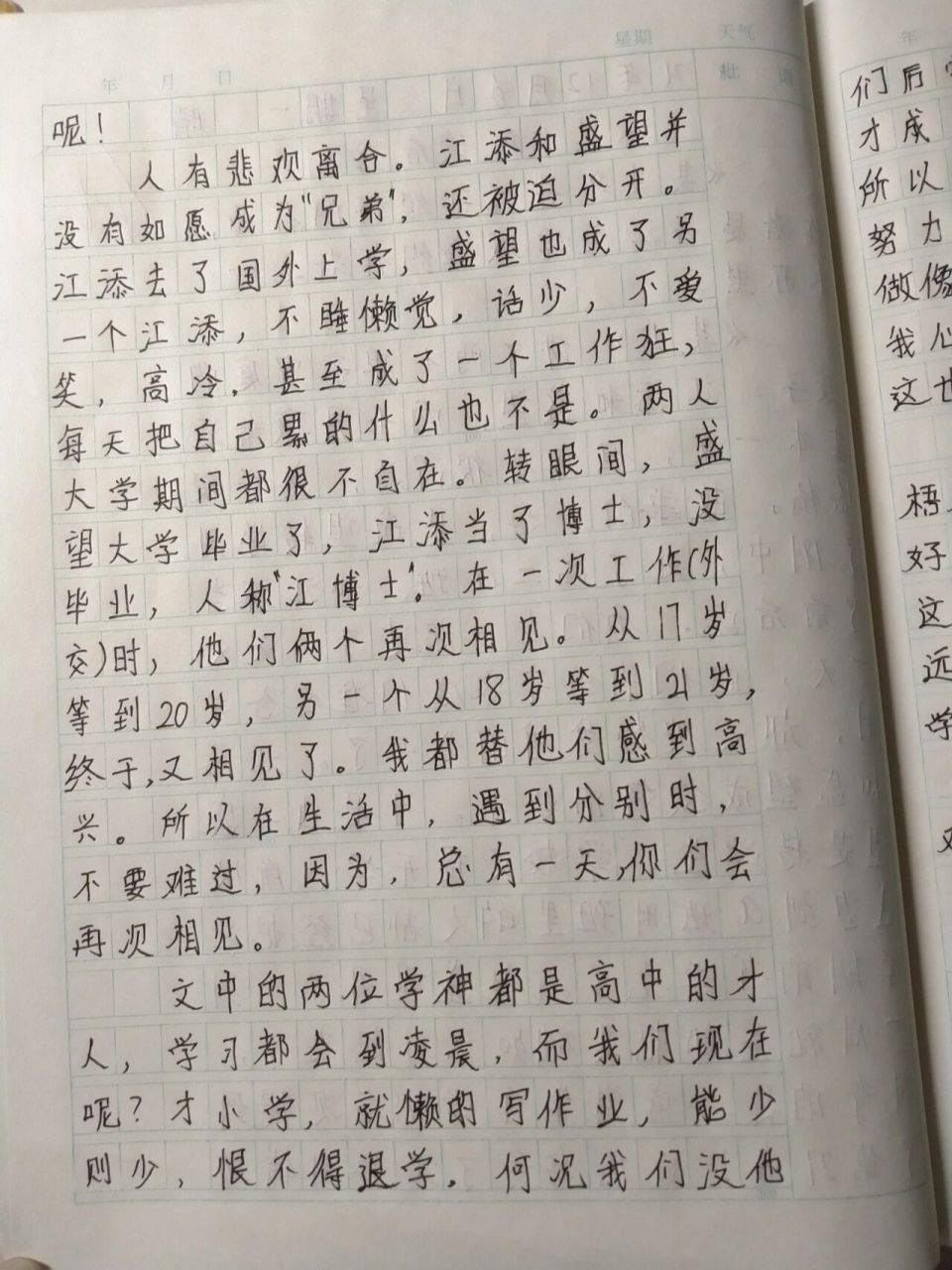
《某某》读后感
图片尺寸961x1280
某某读后感来啦 我们相遇在夏天,而夏天从未结束92
图片尺寸1860x2559
《某某》读后感 我喜欢你,所以希望你被簇拥包围,所以你走的路要繁花
图片尺寸960x1280
《某某》读书笔记@是夕夕呀哈的动态
图片尺寸1280x1706
某某读后感
图片尺寸1152x1536
某某读后感 "江添依旧是哥哥,依旧是男朋友,也依旧是盛望生命里最重要
图片尺寸1920x2560
《某某》读后感 我喜欢你,所以希望你被簇拥包围,所以你走的路要繁花
图片尺寸960x1280
某某读后感 "江添依旧是哥哥,依旧是男朋友,也依旧是盛望生命里最重要
图片尺寸1920x2560
某某读后感
图片尺寸1080x1439
某某某绿野仙踪读后感400字5篇整理版
图片尺寸578x818
《某某》书摘
图片尺寸1080x1440
某某读后感
图片尺寸960x1280
某某的故事550字作文
图片尺寸920x1302
《某某》读后感 经历了我的细节删减 还有一个是《全球高考》的
图片尺寸960x1280
参考了@南巷路@一坨青团哟~的读后感#梗概#某某梗概#某某#某某读后感
图片尺寸1080x1440
《某某》读后感
图片尺寸372x372
《某某》读书笔记
图片尺寸372x372