柯西不等式 公式

柯西不等式公式分享
图片尺寸719x1008
高中数学之柯西不等式#高中数学 #柯西不等式 #每天学习一点
图片尺寸1440x2088
柯西不等式公式分享
图片尺寸719x912
柯西不等式公式分享
图片尺寸719x926
高中生必备:柯西不等式与拉格朗日乘数法
图片尺寸1440x1734
高中数学柯西不等式
图片尺寸1080x1141
柯西不等式的用法
图片尺寸1240x1504
积分不等式的证明 #柯西不等式
图片尺寸1536x2048
柯西不等式
图片尺寸1302x1363
15.柯西不等式
图片尺寸853x480
柯西不等式的变形公式
图片尺寸920x1302
高中数学公式柯西不等式
图片尺寸920x1303
高中很好用的柯西不等式及变式
图片尺寸1440x1920
柯西不等式,权方和不等式,二维,三维卡尔松不等式,比起基本不
图片尺寸1080x1920
柯西不等式公式分享
图片尺寸717x892
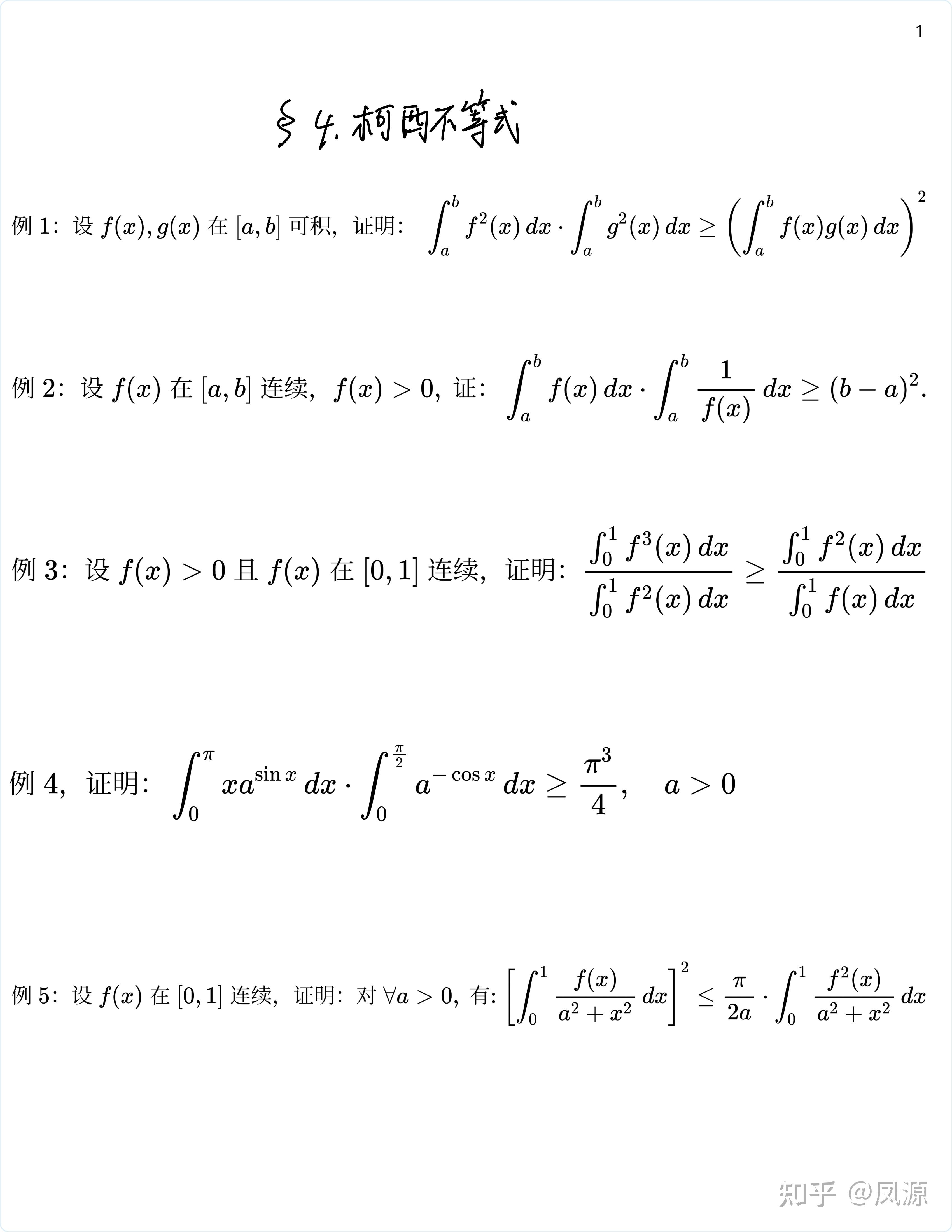
积分不等式专题4:柯西不等式
图片尺寸3400x4400
柯西不等式,数学上的明珠,求最值的祖宗!#数学 #学霸秘籍
图片尺寸2160x2880
柯西不等式可以秒解不等式最值
图片尺寸1080x2412
一张图理解柯西不等式
图片尺寸1236x1645
高中数学:柯西不等式与权方和不等式
图片尺寸1080x1557