柱面方程

这个z2=2x是柱面方程?明显对不上啊
图片尺寸652x437
大学出版社7-5ppt 高等数学清华大学出版社 从柱面方程看柱面的特征
图片尺寸1080x810
柱面旋转曲面二次曲面
图片尺寸661x376
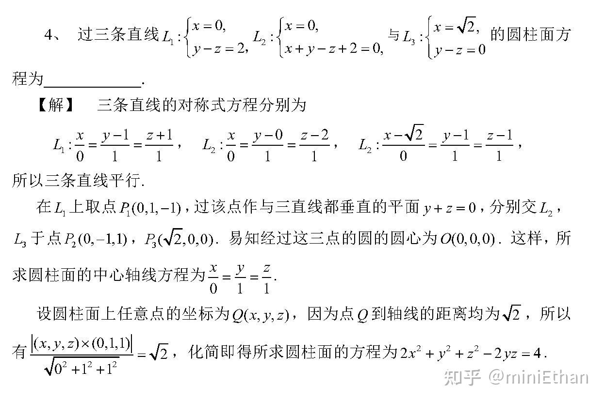
柱面方程的求解
图片尺寸1245x828
在三维坐标中 表示圆柱的方程是?
图片尺寸1344x760
教育 理学 zju微积分课件空间曲面和曲线 zju微积分课件 例2分析方程
图片尺寸1080x810
x,y,z为正实数 求证 x2/(y2 z2 yz) y2/(z2 x2 zx) z2/(x2 y2 xy)>=1
图片尺寸910x512
把1/6写成形如1/m 1/n(m大于或等于n,m,n为
图片尺寸224x417
求柱面方程一道题,求思路,万分感谢!
图片尺寸1024x768
柱面
图片尺寸759x524
坐标轴的柱面 如图7—11所示,设c是xoy平面上的一条曲线,其方程为f(x
图片尺寸450x659
1 柱面锥面ppt 二,柱面的方程 1 柱面的一般方程 f1 x, y, z
图片尺寸1080x810
题目详情
图片尺寸630x347
为母线的柱面 ∑的 方程 l o m1 x, y,0) y x c 设m x
图片尺寸1080x810
柱面方程 跟 投影柱面方程有区别吗?
图片尺寸3264x1952
x 2-y 2=1(双曲柱面). 13.x 2-y 2=0(相交二平面). 14.
图片尺寸1104x1620
第2讲空间几何体的表面积与体积(教师用)
图片尺寸650x460
高等教育 理学 zju微积分课件空间曲面和曲线 zju微积分课件 柱面方程
图片尺寸1080x810
4.1-3空间曲面和空间曲线1ppt
图片尺寸1080x810
特殊曲面及其方程--柱面,锥面,旋转面
图片尺寸920x1302