标准模型图

标准模型粒子图
图片尺寸4500x3412
w玻色子质量实现最精确测量或将打破标准模型
图片尺寸1120x1282
快速绘制标准模型图技巧汇总
图片尺寸850x500
w3c盒子模型(标准盒模型)
图片尺寸774x523
模型标准图片
图片尺寸700x1053
5种heiss系列标准气缸模型
图片尺寸820x465
1) 基于mbd产品设计标准 产品设计标准主要针对产品设计模型,数字
图片尺寸394x227
穴位人形人体经络穴位标准大图模型中医针灸穴位人体模特可扎针清 铜
图片尺寸800x800
知者家装研究院-标准化家装cdct模型2.jpg
图片尺寸640x713
大众化高等教育人才培养质量标准体系模型构建
图片尺寸640x442
基于供应定位模型的供应商评价标准的研究_于相宝
图片尺寸748x590
粒子物理标准模型ppt
图片尺寸1080x810
模型标准图片
图片尺寸700x1053
标准解剖针灸模型
图片尺寸786x740
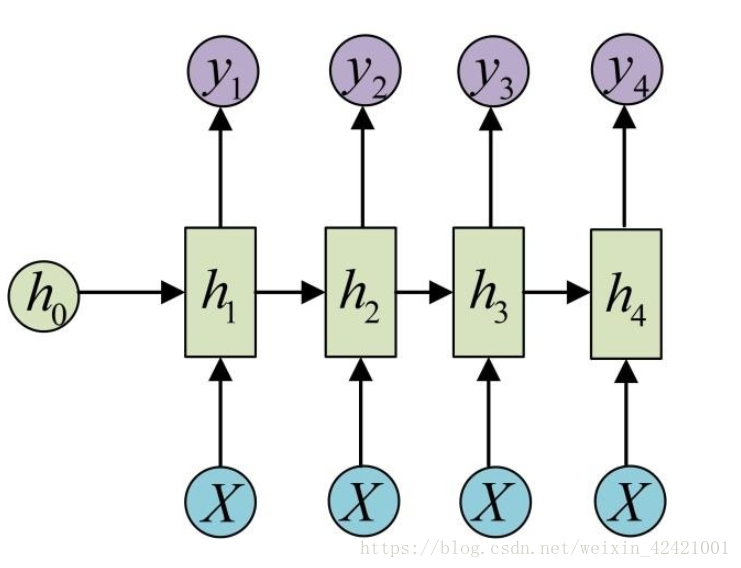
rnn标准模型及其变种
图片尺寸741x568
solidworks 3d标准件模型 螺栓 紧定螺钉 内六角 螺柱 sw 3d图纸
图片尺寸800x800
1)css盒模型css盒模型分为标准模型 和ie模型,画了两张图比较清晰
图片尺寸894x651
eds图怎么绘制pdca管理怎么画快速绘制标准模型图技巧汇总
图片尺寸640x471
穴位模型针灸人体模型医用扎针款全身中医人模经络医学教学标准模型
图片尺寸800x800
是由美国供应链协会发布的跨行业标准供应链参考模型和供应链诊断工具
图片尺寸1363x845