核苷类似物

核苷类似物
图片尺寸696x464
核苷及其类似物
图片尺寸595x417
核苷类似物
图片尺寸1000x558
核苷类似物有直接杀灭病毒的作用,在短时间内效果较干扰素更为明显
图片尺寸500x335
夫定(azvudine,fnc)是核苷类逆转录酶抑制剂,化学结构上是核苷类似物
图片尺寸784x515
核苷酸结构示的图意 腺嘌 (呤)a p 腺嘌呤(a) 脱氧核糖 p核 糖腺苷核
图片尺寸1080x810
核苷酸类似物的抗病毒效用
图片尺寸671x461
烟酰胺腺嘌呤二核苷酸(nad sup> /sup>)类似物的合成及性质
图片尺寸4674x2045
cn1563006a_一类抗病毒核苷类似物的合成失效
图片尺寸709x567
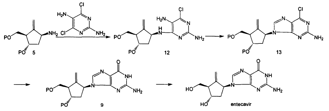
抗病毒核苷类似物的合成方法
图片尺寸1287x434
3《遗传信息的携带者——核酸》课件2ppt 三,核酸是由核苷酸连接而成
图片尺寸1080x810
核苷的结构
图片尺寸484x300
治疗,干扰素,长效,患者,长效干扰素,乙肝表面抗原,核苷类似物,慢性
图片尺寸2250x1500
(新人教)生物必修一同步课件2.3 遗传信息的携带者——核酸ppt
图片尺寸1080x810
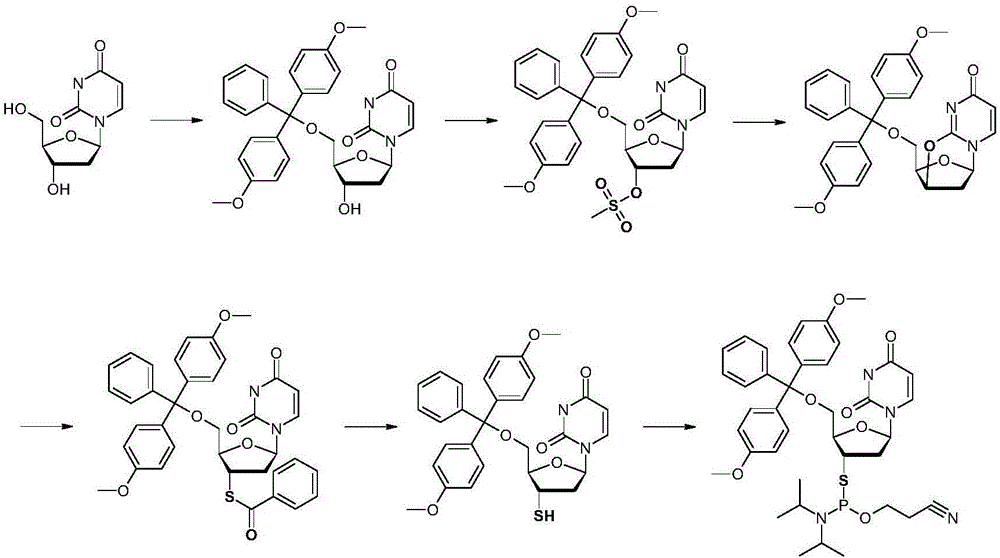
抗病毒核苷类似物的合成方法
图片尺寸1181x312
为什么应用核苷(酸)类似物的慢性乙肝患者需要长期服药?
图片尺寸1523x937
抗病毒核苷类似物的合成方法
图片尺寸744x420
抗病毒核苷类似物的合成方法
图片尺寸705x356
片_百度百科
图片尺寸525x370
第12 章 核酸与核苷类药物ppt
图片尺寸1080x810