核苷酸结构通式

图4-1 构成核苷酸的嘌呤和嘧啶的化学结构式
图片尺寸1090x616
核苷酸
图片尺寸500x681
每一个核苷酸分子由什么组成
图片尺寸1223x770
食用婴儿奶粉1段的宝宝你的奶粉里有核苷酸吗
图片尺寸424x236
3《遗传信息的携带者——核酸》课件2ppt 三,核酸是由核苷酸连接而成
图片尺寸1080x810
而脱氧核糖核酸是由四种脱氧核苷酸通过化学键组成的双螺旋结构,就是
图片尺寸490x290
2:核糖核苷酸链,脱氧核糖核苷酸链
图片尺寸366x536
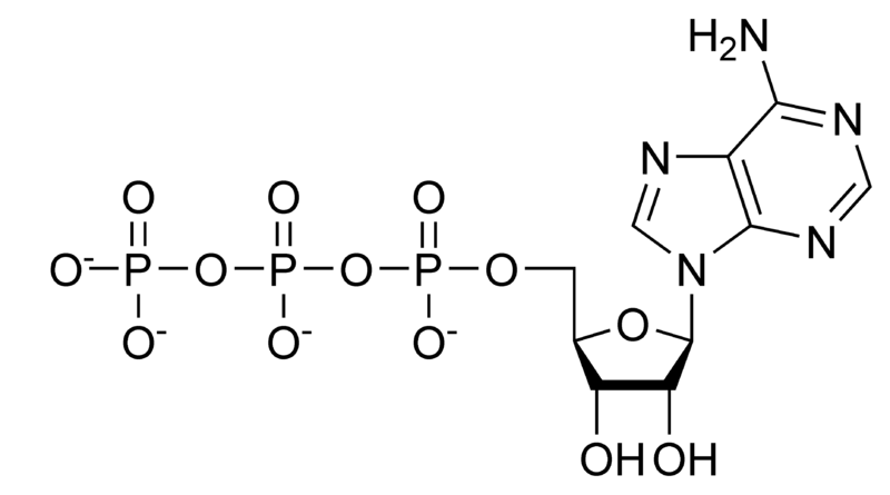
图4- 6 核糖核苷酸,或者更准确地叫作"磷酸核糖核苷"的结构:核苷部分
图片尺寸1273x525
核苷的结构
图片尺寸484x300
脱氧核苷酸大概长下面样子
图片尺寸640x352
核苷酸分子示意图是什么
图片尺寸317x367
几种重要的游离核苷酸
图片尺寸913x1432
【2.1.3】核苷(nucleosides)
图片尺寸1380x1190
生物
图片尺寸800x445
下图的分子结构为某种核苷酸,已知分子结构式的右上角部分为腺嘌呤
图片尺寸357x236
p p p p 腺嘌呤核苷酸 (amp) 鸟嘌呤核苷酸 (gmp) 尿嘧啶核苷酸 (ump)
图片尺寸1080x810
基因与人类健康的关系 dna分子结构——双螺旋
图片尺寸1080x810
由数十至数十亿个核苷酸通过磷酸二酯键形成的一类生物大分子.
图片尺寸500x636
核苷酸的结构
图片尺寸474x305
核苷酸结构通式是什么
图片尺寸600x155