椭圆通径

高中数学知识网络图ppt
图片尺寸1080x810
高中数学选择填空破题(椭圆的基本性质):椭圆的通径-word版含答案.
图片尺寸860x1218
数学中椭圆和双曲线中所说的通经是什么? _百度教育
图片尺寸433x512
6. 椭圆里面的通径怎么算
图片尺寸434x309
椭圆基本知识ppt
图片尺寸860x645
椭圆的通径是距离右焦点最短的点么
图片尺寸431x304
椭圆通径长定理
图片尺寸268x256
椭圆的通径是距离右焦点最短的点么
图片尺寸500x263
一坑未平一坑又起圆锥曲线11椭圆的定义中的东西
图片尺寸1296x864
椭圆通径长度
图片尺寸570x228
椭圆的标准方程和几何性质
图片尺寸742x677
焦半径公式和通径公式
图片尺寸720x540
椭圆的焦半径和通径
图片尺寸480x270
椭圆通径公式
图片尺寸640x341
证明了椭圆焦点弦中通径最小.
图片尺寸1536x960
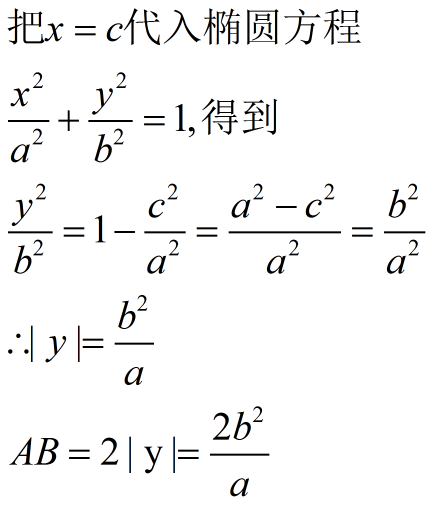
椭圆通径公式咋推啊,我令x=c,解不出y=a分之b方,求帮忙详细解一下
图片尺寸612x612
数学椭圆通径公式-爱问教育培训
图片尺寸570x228
椭圆通径定义
图片尺寸570x228
2.1 椭圆的标准方程(一)备考练习 苏教版
图片尺寸758x631
椭圆的直径
图片尺寸588x336