欧几里德算法

欧几里得算法是一个古老而重要的算法,用于计算两个正整数的最大公约
图片尺寸1467x1280
欧几里得算法
图片尺寸537x401
假如需要求 1026 和 246 这两个正整数的最大公约数,用欧几里德算法
图片尺寸929x556
基础算法001-----欧几里得算法(求最大公约数 求最小公倍数)
图片尺寸521x790
欧几里得算法是一个古老而重要的算法,用于计算两个正整数的最大公约
图片尺寸2792x1280
欧几里得算法
图片尺寸604x455
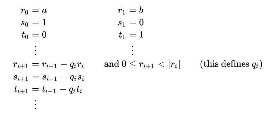
扩展欧几里得算法
图片尺寸2560x1528
扩展欧几里德算法_第1页
图片尺寸1754x2479
欧几里德算法原理 - 简书
图片尺寸4032x3024
专题 拓展欧几里得算法_欧几里德演算法-csdn博客
图片尺寸1536x2048
欧几里得算法
图片尺寸776x445
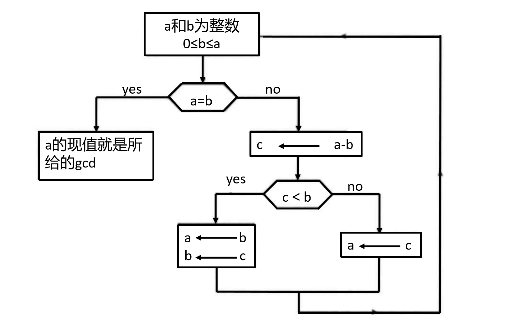
下图中的程序框图所描述的算法称为欧几里得辗转相除法.
图片尺寸183x301
1.欧几里德算法描述
图片尺寸396x510
扩展欧几里德算法
图片尺寸887x369
欧几里得算法_小知识:什么是欧几里得算法
图片尺寸1080x1296
欧几里得算法
图片尺寸1801x680
欧几里德算法
图片尺寸920x1303
scratch教程经典欧几里德算法的scratch实现
图片尺寸649x647
(1)1234 mod 4321 用扩展欧几里德算法的计算过程如下:- 1082 =3239
图片尺寸2143x1157
历史上最著名的3个数学算法,关于算法的观念,直到今天还在演进_方法
图片尺寸1629x1038