欧拉公式图形表示

欧拉——数学界的英雄:欧拉公式为何被称为世界上最优美的公式?
图片尺寸640x582
7 欧拉公式
图片尺寸986x772
泄露天机的欧拉公式
图片尺寸640x543
信号分析专业课介绍欧拉公式
图片尺寸1080x810
申圆诗词:世界最完美公式――欧拉公式(新韵)
图片尺寸640x657
我们继续使用欧拉公式,上述结论可以转换为如下样式
图片尺寸640x359
很多人真正爱上数学是从欧拉公式开始的它到底有怎样的魔力
图片尺寸960x403
一步一步理解欧拉公式
图片尺寸650x471
> 欧拉公式
图片尺寸1080x810
带你证明最美公式——欧拉公式
图片尺寸1620x1012
如何通俗解释欧拉公式
图片尺寸593x562
怎么向小学生解释欧拉公式eπi10
图片尺寸600x570
欧拉公式,补充楼上 @盛宇 的回答,左右乘以正弦波振幅就是相量.
图片尺寸608x600
二欧拉公式
图片尺寸690x568
根据欧拉公式和这个点可以用复指数表示,如图:cosθ jsinθ是个复数
图片尺寸1640x1080
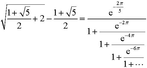
这个绝美的公式不仅像欧拉公式一样联系起了圆周率和e,同时它还将黄金
图片尺寸498x233
欧拉公式
图片尺寸454x279
浅谈欧拉函数
图片尺寸580x459
英国评选了世界上最伟大的十个公式:欧拉公式是最完美的数学公式
图片尺寸528x317
欧拉公式
图片尺寸675x407