欧拉公式 欧拉法

欧拉公式
图片尺寸791x423
信号分析专业课介绍欧拉公式
图片尺寸1080x810
1.欧拉公式
图片尺寸1029x603
> 欧拉公式
图片尺寸1080x810
欧拉公式
图片尺寸1132x538
欧拉公式证明
图片尺寸677x407
欧拉公式的推论与应用
图片尺寸607x244
欧拉公式的应用
图片尺寸2233x3026
欧拉公式eiπ10中的中各个数理解
图片尺寸507x709
欧拉公式,补充楼上 @盛宇 的回答,左右乘以正弦波振幅就是相量.
图片尺寸608x600
欧拉公式
图片尺寸1080x1439
欧拉复数公式
图片尺寸700x391
欧拉公式的推广形式
图片尺寸1600x1138
我们继续使用欧拉公式,上述结论可以转换为如下样式
图片尺寸640x359
当欧拉公式遇见泰勒展式一定会擦出美丽的艺术火花
图片尺寸720x1280
数学中最优美的公式——欧拉公式,这是一个越看越美的公式!
图片尺寸640x374
数学新视野:分析欧拉公式的一种巧妙方法
图片尺寸640x450
欧拉公式ppt幻灯片
图片尺寸300x225
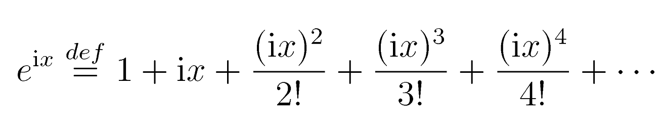
欧拉公式的意义欧拉公式定义
图片尺寸1311x271
最伟大的数学公式:欧拉公式-13.jpg
图片尺寸640x250