正态分布公式

正态分布概率公式部分共6页
图片尺寸920x1302
正态分布标准化公式.docx 1页
图片尺寸1594x2255
正态分布概率公式(部分).doc
图片尺寸792x1120
正态分布公式是怎么推出来的.200分
图片尺寸831x350
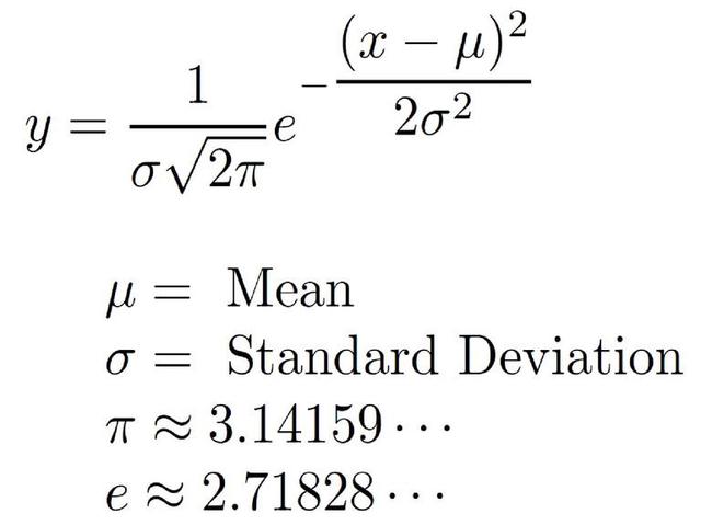
正态分布(高斯分布)
图片尺寸640x479
计算标准正态分布的分布函数的级数展开公式(续).gif
图片尺寸718x339
医学统计学3正态分布及其应用ppt
图片尺寸1080x810
正态分布方差
图片尺寸720x449
高等教育出版社 概率论与数理统计教案 正态分布ppt
图片尺寸1080x810
标准正态分布函数表
图片尺寸2008x1184
求问如何利用正态分布公式推导出瑞利分布?
图片尺寸784x635
正态分布标准化公式
图片尺寸800x1132
正态分布的概率计算
图片尺寸920x1302
中位数 满意度 标准正态分布的中位数
图片尺寸792x1120
趣说正态分布(1)- 六西格玛咨询
图片尺寸334x115
标准正态分布的密度函数ppt
图片尺寸1080x810
高等教育出版社 概率论与数理统计教案 正态分布ppt
图片尺寸1080x810
标准正态分布公式
图片尺寸703x497
正态分布 推导 - liuxuganganna - liuxuganganna的博客
图片尺寸436x338
4正态分布与线性回归(第1课时)答案ppt
图片尺寸1080x810