正整数符号

③常见集合的符号: 集合 自然数集 正整数集 * 或n n ______ 整数集
图片尺寸1080x674
常见数集及其表示符号 自然数集用 n 表示,正整数集用 n*或 n 表示
图片尺寸1080x810
(4)常见数集的记法 集合 自然数集 符号 n 正整数集 n*(或 n ) 整数集
图片尺寸1080x810
常用数学集合符号,求全部,另外到底是加号表示正的,还是星号?
图片尺寸457x292
已知n是一个正整数是整数则n的最小值是
图片尺寸600x348
新人教a版必修1ppt 知识探究(四) 思考:所有的自然数,正整数,整数,有
图片尺寸1080x810
世纪金榜 2013 高三复习 答案 (3)常见集合的符号 自然数集 n 正整数
图片尺寸1080x810
重要数集: (1) n: 自然数集(含0) 即非负整数集 (2) n* 或n : 正整数
图片尺寸1080x810
它采用二十进位制但只有3个符号.用点"61 划" .卵形" 来表示
图片尺寸444x258
在n中除去零之后,其余的自然数构成的数集称为正整数集,常用符号n 或n
图片尺寸600x343
(3)常见集合的符号 自然数集 n 正整数集 n 或 n * 整数集 z 有理数
图片尺寸1080x810
人教版高一数学集合符号
图片尺寸474x516
虚数集n 自然数集,非负整数集(包含元素"0")n*(n ) 正自然数集,正整数
图片尺寸610x410
其他 快懂百科 自然数 文章正文0是极为重要的数字,0的发现被称为人类
图片尺寸800x800
第1讲 │ 知识梳理 (4)几个常用集合的表示法 数集 自然数集 正整数集
图片尺寸1080x810
(3)同余符号: ≡(2)计算比m小,且与m不互质的正整数的和:(phi(m) 1)*m
图片尺寸421x278
科学之父,起源于原始人类用来数数计数的记号形成自然数"数"的符号,是
图片尺寸704x435
正整数集n和整数集z的关系是用什么符号啊
图片尺寸500x667
人工智能数学基础3部分数学符号以及自然数整数有理数和实数的势
图片尺寸457x650
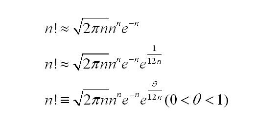
一个正整数的阶乘(factorial)是所有小于及等于该数的正整数的积,并且
图片尺寸525x255