正比符号

符号怎么读
图片尺寸576x432
这是什么符号
图片尺寸432x576
word中如何打出正比∝符号
图片尺寸500x457
困境然而,相比数量的增加,弹幕互动直播间整体的质量却不成正比,存在
图片尺寸300x300
百分比圆形商业图形图标
图片尺寸512x512
一个物理量y随另一个物理量x的正比关系,可以表示为y∝x(读作"y正比于
图片尺寸1388x1000
比例图图标
图片尺寸512x512
科学研究学习系列全套线框图标基因链
图片尺寸512x512
怎么用mathtype编辑正比符号
图片尺寸500x341
一定要教孩子认清这些标识帮孩子远离恋童癖
图片尺寸453x598
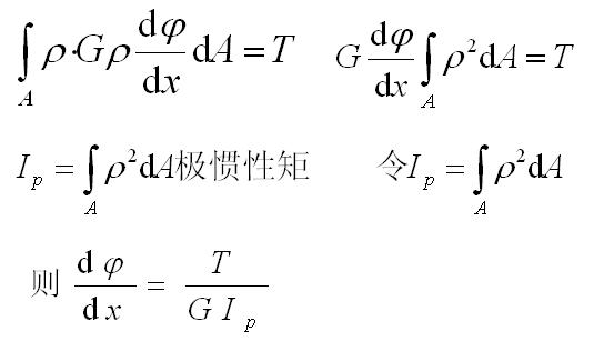
section factor
图片尺寸553x325
测量校准
图片尺寸1100x1100
在中央气象台的预报中,大屏幕上有符号表示:像个f的样子,其中"
图片尺寸449x359
在单元格插入符号"√"
图片尺寸378x224
4牛顿第二定律(粤教版必修1 高一物理课件)ppt 回 顾 正比于 a∝f a
图片尺寸1080x810
17原子核物理和粒子物理简介ppt
图片尺寸1080x810
自感系数自感电动势的大小:与电流的变化率成正比.
图片尺寸293x257
感抗xl分别与交流电的频率f和电感器的电感量l成正比
图片尺寸425x454
比例图标投影阴影法符号剪影符号司法尺度矢量孤立的图比例图标
图片尺寸1024x1024
f|/|p|正比于小量h 0/ l,即变厚度薄层中的粘性流体运动能产生远大于
图片尺寸250x89