残差平方和
残差平方和是在
一位常年带初三的老师直言不讳的说:"完全平方公式不熟练的学生,初三
图片尺寸1280x1812
初中数学平方差和完全平方公式的变形大全! #知识点总结
图片尺寸1080x1458
本文介绍了如何使用matlab对给定的数据集
图片尺寸3216x2461
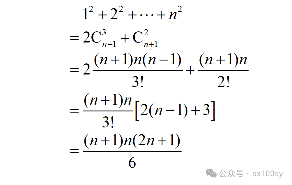
平方和的多种意思及平方和公式的两种推导方法
图片尺寸1003x636
猜你喜欢: