氨基生命

2014年《步步高》高考生物大一轮复习学案 作业第一单元 学案3 生命
图片尺寸1788x812
今日解锁一切生命的基石氨基酸
图片尺寸810x1080
日本公布重大发现首次确认外太空有氨基酸生命或起源于太空
图片尺寸1024x724
2生命活动的主要承担者--蛋白质自学案 ◆决定氨基酸种类的是氨基酸的
图片尺寸928x413
氨的代谢- 生命经纬知识库
图片尺寸489x348
呼吸链- 生命经纬知识库
图片尺寸680x323
氨的代谢- 生命经纬知识库
图片尺寸570x208
首页-上海交通大学生命科学技术学院
图片尺寸1483x1600
地球生命真的起源于"rna世界"吗?
图片尺寸805x1000
5-氨基乙酰丙酸对海南妃子笑荔枝果实着色,生长和营养品质的影响
图片尺寸3200x1800
首页-上海交通大学生命科学技术学院
图片尺寸1425x1475
南阳肥料用y氨基丁酸价格
图片尺寸750x439
生命活动的主要承担着-蛋白质(一轮复习学案)
图片尺寸1553x723
在心衰治疗中的应用 - 好医术早读文章 - 好医术-赋能医生守护生命
图片尺寸617x484
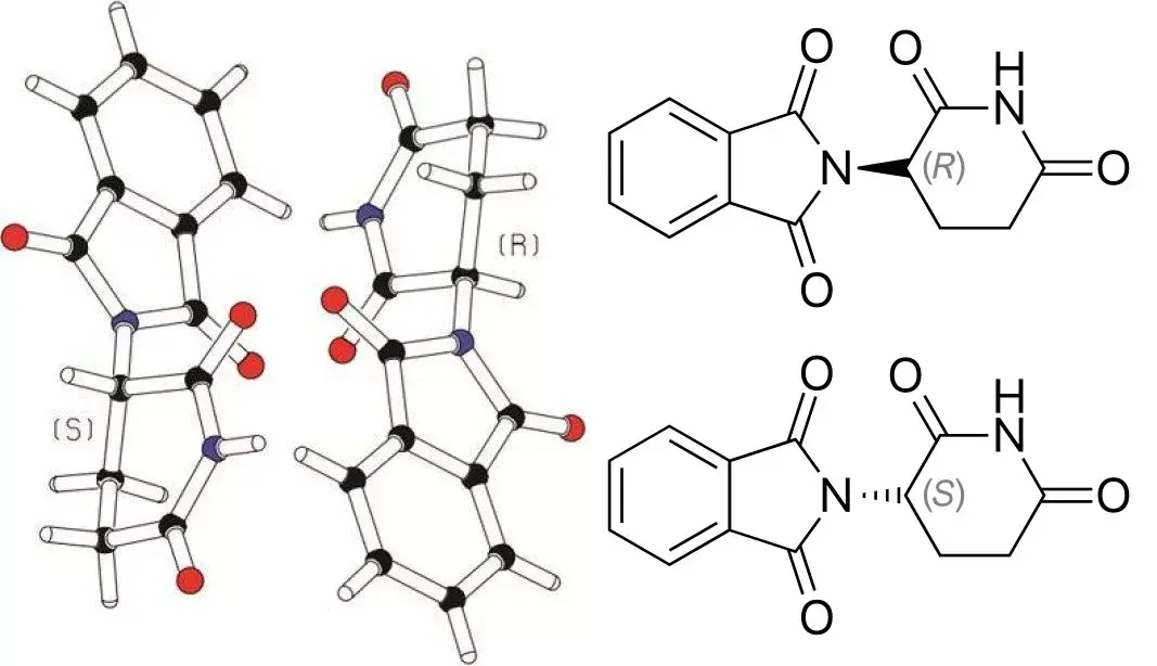
从反应停事件的背后元凶谈到宇宙生命的答案
图片尺寸1067x614
生命活动中最重要的物质蛋白质
图片尺寸1080x1080
光彩生命|吊打a醇玻尿羊胎素,它凭成分挤进我的抗老必备好物_皮肤
图片尺寸1200x918
赵蔚刘庆团队合作揭示m6a修饰和组蛋白修饰之间相互作用
图片尺寸640x313
2生命活动的主要承担者-蛋白质ppt
图片尺寸1080x810
autophagy葡萄糖胺可通过双重作用增强细胞自噬水平从而
图片尺寸825x537