求和公式图片

经典数列求和公式
图片尺寸800x1132
数列求和公式
图片尺寸1243x936
1,数列公式求和
图片尺寸920x690
高中数学专题课件:数列求和(新人教版a必修5)ppt (2)利用公式法求和 n
图片尺寸1080x810
高中数列求和公式
图片尺寸920x1302
必备求和公式算法很美
图片尺寸1625x735
常用的一些求和公式doc
图片尺寸860x1216
第一类:公式法 利用下列常用求和公式求和是数列求和的最基本最忠要
图片尺寸720x603
高中生必会的数列常用求和公式,你会几个?
图片尺寸911x712
等比数列求和等比等差数列求和公式及其推导过程
图片尺寸720x405
数列1/n的平方求和公式是什么?
图片尺寸422x337
常用的一些求和公式
图片尺寸920x1303
一类无穷级数的求和公式高等数学内容
图片尺寸1080x709
高数,理工学科,幂级数求和函数
图片尺寸1313x1079
自然数前n项p次方求和公式.docx 1页
图片尺寸804x1137
2020716数论分块求和计算公式
图片尺寸1585x867
利用下列常用求和公式求和是数列求和的最基本最重要的方法.
图片尺寸640x1025
等差数列求和公式
图片尺寸630x575
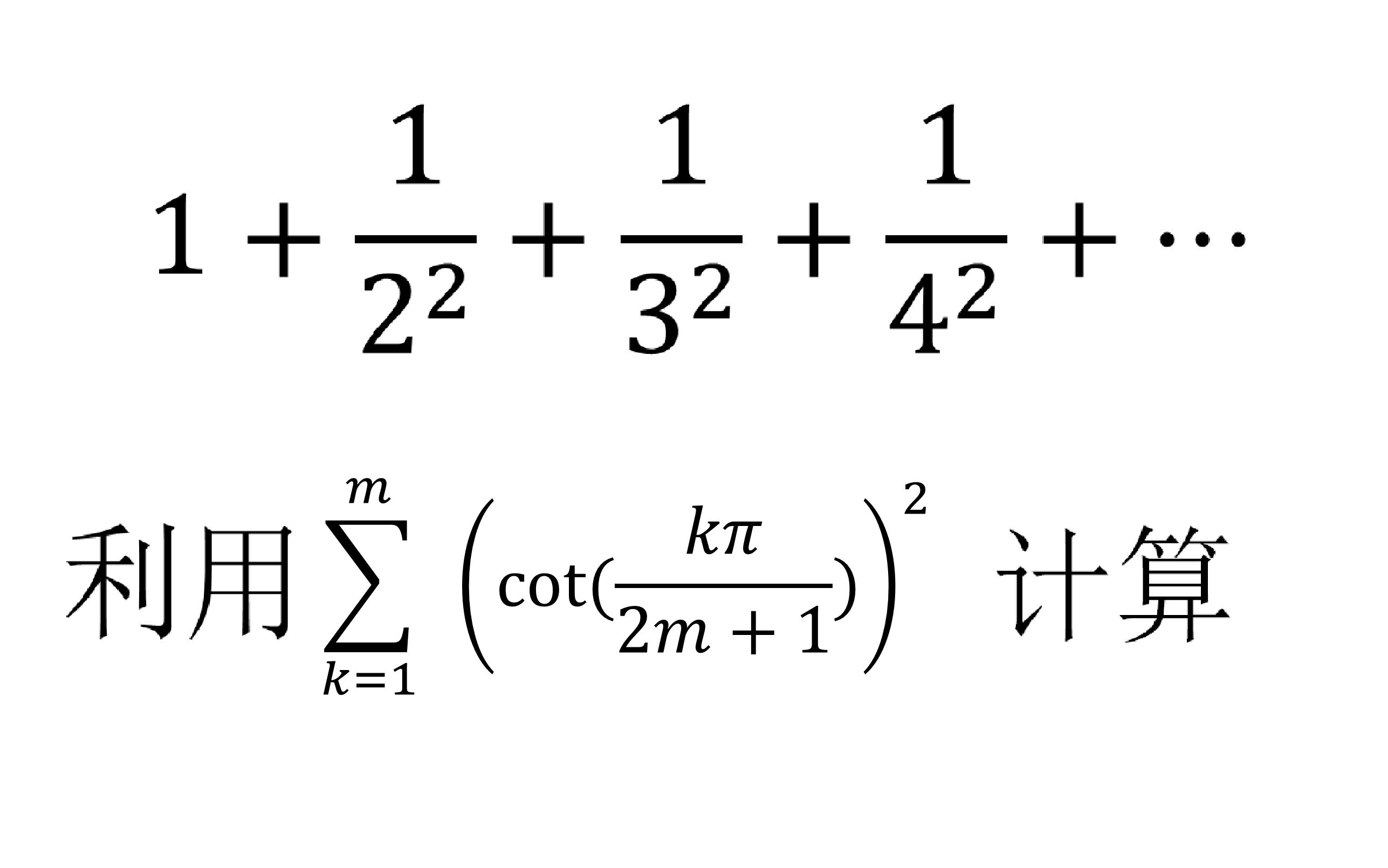
利用余切数列的求和公式计算自然数倒数的平方和
图片尺寸2574x1609
三年级高斯求和.docx
图片尺寸993x1404