江永一中顾梦婷
她收到今年重庆高考第一份录取通知书
图片尺寸838x469
顾梦婷
图片尺寸630x945
全城高考这里有你的表情包永州人
图片尺寸800x541
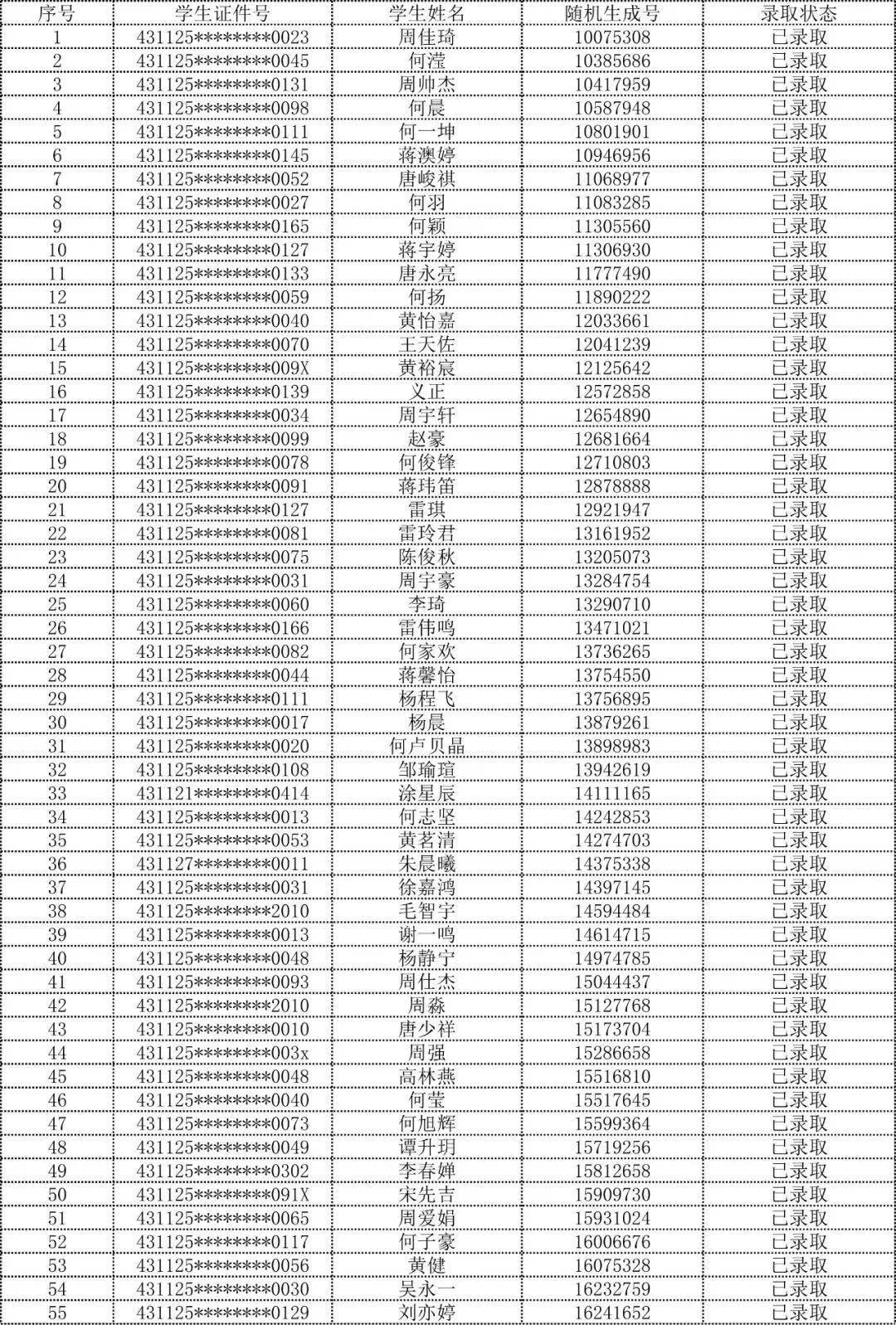
2020年秋季民族中学北校区初一新生录取名单
图片尺寸1080x1597
江永县一中歌唱祖国喝彩青春快闪活动纪念五四运动100周年
图片尺寸580x360
江永企业进校园:给学生锻炼 送企业未来
图片尺寸1080x607
猜你喜欢: