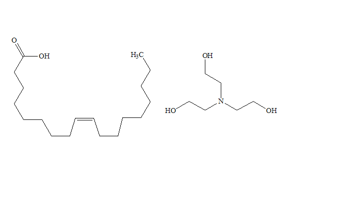
油酸三乙醇胺

三乙醇胺油酸皂金属清洗剂
图片尺寸1080x2274
三乙醇胺油酸皂
图片尺寸576x413
三乙醇胺油酸皂
图片尺寸800x966
三乙醇胺油酸皂的特点及作用
图片尺寸4032x3024
油酸三乙醇胺
图片尺寸405x169
三乙醇胺油酸皂厂家生产三乙醇胺油酸皂防锈切削液
图片尺寸1080x2274
油酸三乙醇胺
图片尺寸720x450
油酸三乙醇胺盐
图片尺寸461x612
三乙醇胺性质稳定厂家生产保质保量
图片尺寸2592x1728
三乙醇胺油酸皂 金属清洗剂
图片尺寸500x333
三乙醇胺
图片尺寸450x350
油酸三乙醇胺皂取代剂 油酸皂取代剂,耐硬水油酸三乙醇胺
图片尺寸1242x1242
三乙醇胺油酸皂鹿泉总代理
图片尺寸375x340
三乙醇胺油酸皂济南永泰化工图三乙醇胺油酸皂 ca
图片尺寸500x429
三乙醇胺油酸皂异构油酸皂金属防锈剂
图片尺寸1920x1920
三乙醇胺用途价格大同乳化剂97三乙醇胺长期大量生产
图片尺寸3000x4000
三乙醇胺
图片尺寸1200x900
5,三乙醇胺与油酸反应生成的油酸三乙醇胺脂是用于锅炉水处理,汽车
图片尺寸498x398
油酸三乙醇胺 工业级 淡黄色油状液体 140kg/桶水性润滑添加剂
图片尺寸750x750
现货供应 德国/扬子巴斯夫/马石油/沙陶三乙醇胺 含量99
图片尺寸1920x1440