泰勒公式推导

五分钟学会泰勒公式.看一遍知识点,刷几个经典例题,轻松掌握泰 - 抖音
图片尺寸1080x1440
高数|5分钟搞懂泰勒公式,快速求极限
图片尺寸1080x1440
高数系列之泰勒公式
图片尺寸704x1115
常用泰勒公式,记住有好处!
图片尺寸690x1008
泰勒展开式,也称作泰勒级数或泰勒公式,是一种数学方法,用于表示函数
图片尺寸1080x1328
考研必考公式之泰勒公式记忆大法 考研必考公式之一
图片尺寸960x1280
泰勒公式
图片尺寸670x1280
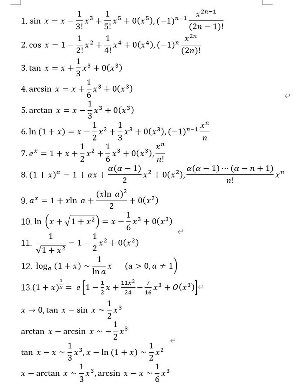
这些常用泰勒公式,都是在x→0时成立的.
图片尺寸1002x1280
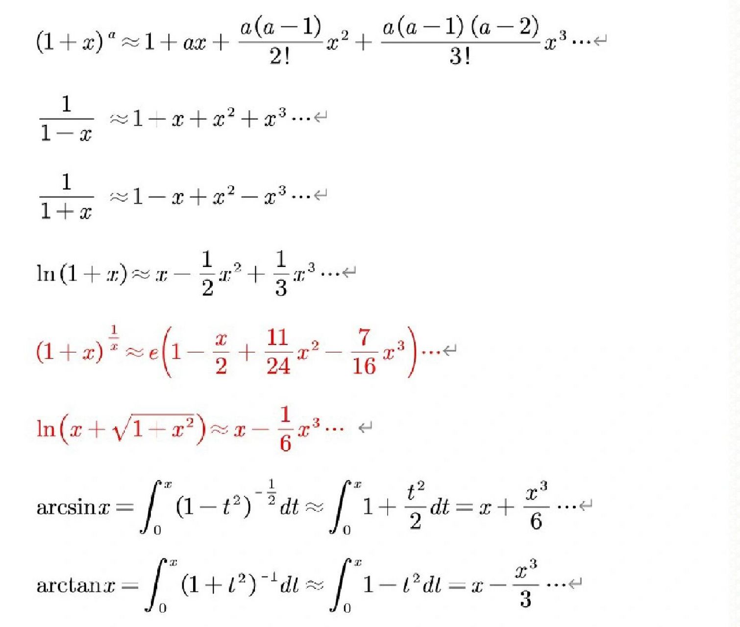
关于泰勒公式的推导过程
图片尺寸646x917
泰勒公式
图片尺寸633x1280
常见的泰勒公式展开式
图片尺寸600x726
进来背书|泰勒十个展开式 每天看一遍自己主页就背了一遍书!
图片尺寸1280x1280
泰勒公式是怎么被推导出来的
图片尺寸1476x1036
高等数学基础笔记:泰勒公式 常用的泰勒公式,赶紧收藏吧!
图片尺寸1920x2560
泰勒公式大全|总有你没见过的泰勒|持续更新 需要推导请留言哦
图片尺寸1510x1280
关于泰勒公式的推导过程
图片尺寸450x421
常用泰勒公式汇总! 后面两个大家见得不多,这里推导一下供大家参考!
图片尺寸1120x1159
泰勒公式求极限12xxx33x13x2xx2xxxx
图片尺寸1280x2354
泰勒定理#泰勒公式#考研#考研数学#中值定理证明#高数#线代#概率#24
图片尺寸1080x1280
泰勒公式
图片尺寸1896x2560