泰勒公式的泰勒

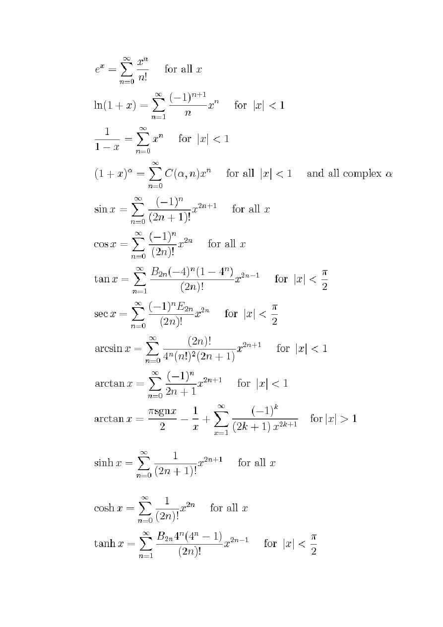
常用的泰勒公式
图片尺寸920x1302
(等价无穷小与幂级数)泰勒公式
图片尺寸936x1424
高数泰勒公式,不明白两式相减后怎么化简的,化简不出来
图片尺寸753x595
之前自制的壁纸 分享一下吧.#泰勒公式记忆方法 #考研 - 抖音
图片尺寸887x1920
多元函数的泰勒级数展开公式
图片尺寸599x583
二元函数的泰勒公式
图片尺寸1080x810
3.1.2泰勒公式,如图
图片尺寸890x528
微积分13--泰勒公式
图片尺寸961x496
常用十个泰勒展开公式常用十个泰勒展开公式推导
图片尺寸500x355
泰勒公式底下是怎么求的?
图片尺寸480x800
泰勒公式(一)
图片尺寸1034x1140
泰勒公式(taylors theorem)在高考中的应用之终极版 - 知乎
图片尺寸893x1263
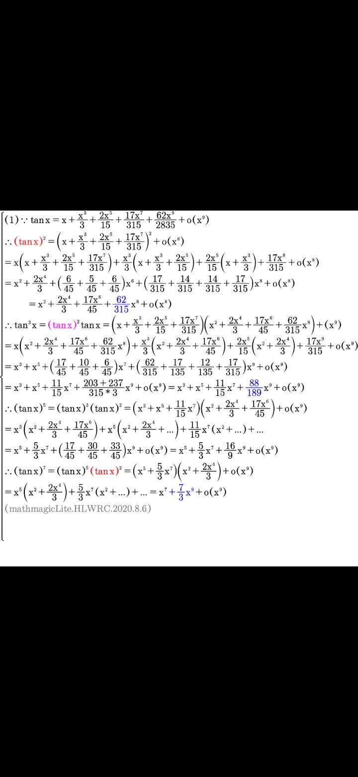
泰勒公式的运用
图片尺寸720x1560
1 常见的泰勒公式
图片尺寸957x631
高数数学微积分,洛必达法则泰勒公式求极限.谢谢点赞哔哩:海离 - 抖音
图片尺寸1440x2252
极限x趋向于0(cotx-1/x)怎么用泰勒公式计算
图片尺寸2281x2381
泰勒公式(高中版)
图片尺寸717x511
写出二元函数的泰勒公式.
图片尺寸2495x675
2.泰勒公式的使用
图片尺寸718x555
活动作品泰勒公式的应用
图片尺寸1920x1080