泰勒展开 cos

求一些常见初等函数的泰勒展开式 如:e^x sinx cosx ln(1 x) (1 x)^n
图片尺寸720x827
泰勒斯威夫特cos初音超萌
图片尺寸580x871
小鲸鱼95呀.#whaletaylor #低质 #cos # - 抖音
图片尺寸1440x1920
泰勒展开
图片尺寸288x407
▼《蜘蛛人:新宇宙》关·史黛西平常除了会拍摄cosplay的写真集外,有
图片尺寸891x827
恐龙战队红色金刚战士角色扮演服装 男孩科幻片超能泰勒cosplay
图片尺寸800x800
虹咲学园偶像同好会都看了吗一些米娅泰勒
图片尺寸1080x1439
ashley, gigi, blake&ryan和leah mccarthy等好友一起cos童年英雄
图片尺寸561x704
虚拟主播 whale taylor cosplay定制 腿甲发光
图片尺寸1920x2560
出下老婆#whaletaylor #vtuber #个人势 #虚拟主播 #主播 #cos
图片尺寸1080x1439
居家cos一下霉霉
图片尺寸1080x1321
whaletaylor #cos
图片尺寸1080x1440
万圣节 cos霉妈#泰勒斯威夫特 #欧美明星 #taylorswift
图片尺寸1080x539
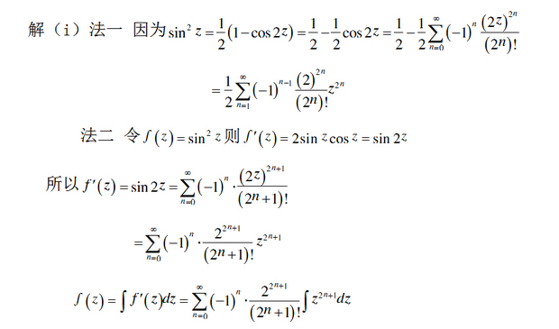
将sinz,cosz在z=1的邻域展开成泰勒级数,并求收敛域
图片尺寸620x365
頑張って#cos #vtuber #whaletaylor #虚拟主播 #coser #cosplay
图片尺寸1080x1440
常用泰勒展开
图片尺寸893x1263
虚拟主播whale taylorcos头饰发夹配饰cosplay道具配件
图片尺寸800x800
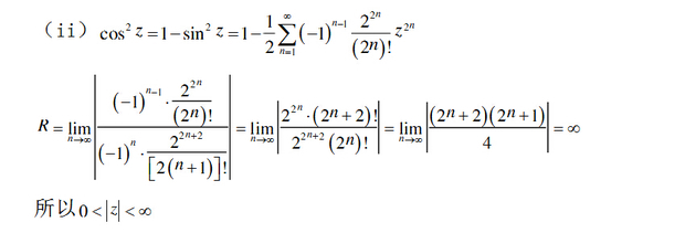
将sinz,cosz在z=1的邻域展开成泰勒级数,并求收敛域
图片尺寸620x211
whaletaylor #cos
图片尺寸1080x1440
cos 过的角色 | taylor
图片尺寸350x263