洛必达法则

洛必达法则_文档下载
图片尺寸1080x810
洛必达法则公式及条件_高三网
图片尺寸611x856
洛必达法则(解析版)
图片尺寸962x1280
4.2 洛必达法则_文档下载
图片尺寸1080x810
高数|7道题拿下洛必达法则!快速求极限.#高数 #高等数学 - 抖音
图片尺寸1080x1440
浅谈洛必达法则 - 程序员大本营
图片尺寸1080x1772
洛必达法则_文档下载
图片尺寸1080x810
洛必达法则在高中数学中的应用
图片尺寸495x525
洛必达法则求极限_百度知道
图片尺寸1512x1512
洛必达法则,无穷比无穷型的完全证明
图片尺寸1991x1244
求极限洛必达法则....._百度知道
图片尺寸1227x1866
求极限洛必达法则....._百度知道
图片尺寸1094x1350
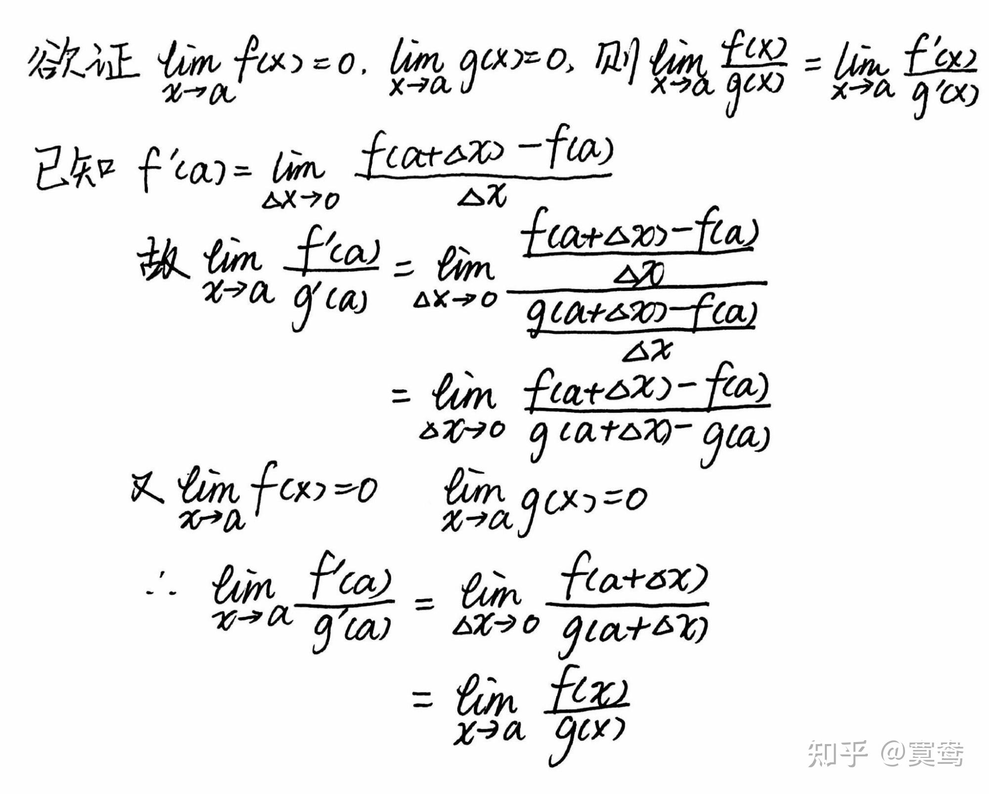
洛必达法则怎么证明? - 知乎
图片尺寸2000x1605
微分本质(7)--极限 - 知乎
图片尺寸1514x884
用洛必达法则求解极限x趋于无穷大,lim(2e^3x lnx)/(e^3x x^2) ,和x趋
图片尺寸1701x1645
用洛必达法则求解极限x趋于无穷大,lim(2e^3x lnx)/(e^3x x^2) ,和x趋
图片尺寸1701x1648
考研数学每日小课堂—第12课 洛必达法则与极限的有理化定式-海天考研
图片尺寸642x686
高数课件9洛必达法则
图片尺寸920x690
高数|洛必达法则:基础篇
图片尺寸378x390
3-2洛必达法则_word文档在线阅读与下载_无忧文档
图片尺寸1080x810