消逝波

消逝波:当以波动光学的角度来研究全反射时,人们发现当入射光到达界面
图片尺寸982x496
realistic mod at dying light nexus - mods and community
图片尺寸1920x1200
消逝波
图片尺寸268x177
消逝光芒2战地5古墓丽影暗影fifa19光环无限细胞分裂超越善恶2无双
图片尺寸1307x566
有哪些看起来很有格调的电脑桌面壁纸? - 知乎
图片尺寸2560x1440
隐逝波
图片尺寸684x506
消逝波
图片尺寸431x355![教育] juan520 2017-05-16 14:36 而你,也在我的缱绻中慢慢的消逝](https://i.ecywang.com/upload/1/img0.baidu.com/it/u=1383960436,3062068994&fm=253&fmt=auto&app=138&f=JPEG?w=500&h=274)
教育] juan520 2017-05-16 14:36 而你,也在我的缱绻中慢慢的消逝
图片尺寸500x274
舞剧《永不消逝的电波》深圳站时间:1 月 8,10,11 日每天 20:00 开始
图片尺寸800x602
复古 怀旧 迷幻 蒸汽波
图片尺寸1600x1131
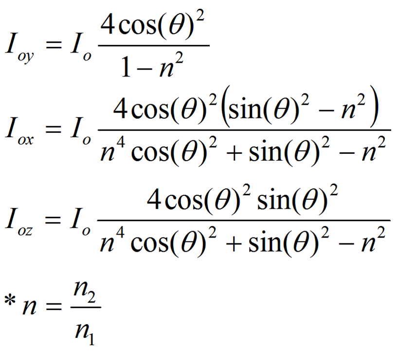
隐矢波
图片尺寸816x725
在和麦克风距离保持在20cm-30cm左右的前提下,注意看录制出来的波形
图片尺寸1096x371
wave),即 b>渐逝波 /b>,又称为 b>消逝波 /b>或 b>隐失波 /b>,是指当
图片尺寸165x60
消逝的光芒笔记本低配优化补丁分享
图片尺寸1280x720
wave),即 b>渐逝波 /b>,又称为 b>消逝波 /b>或 b>隐失波 /b>,是指当
图片尺寸15x17
探索把光"定住"的"魔法" 中国科学家发现莫尔晶格中波的演化规律
图片尺寸580x708
wave),即 b>渐逝波 /b>,又称为 b>消逝波 /b>或 b>隐失波 /b>,是指当
图片尺寸255x197
epic限时免费领《消逝的光芒 增强版》amd rx570 1080p效能测试
图片尺寸2304x1440
「第一期」
图片尺寸1920x1080
无线电波图片_全景网
图片尺寸600x558