混合醚结构式

有机化学命名指南:醚类化合物
图片尺寸1591x1145
然后根据醚的烷基的结构发生sn1或sn2反应
图片尺寸2624x1696
乙醚,又称依打
图片尺寸766x394
151937767盐酸戊乙奎醚同分异构体混合物
图片尺寸300x300
聚醚组合物的制造方法含氟聚醚组合物的制造方法及聚醚组合物与流程
图片尺寸1766x1938
polypropyleneglycolp400
图片尺寸1000x667
为什么醚的官能团叫醚键,不叫醚基?
图片尺寸1856x2140
天津中福环保科技股份有限公司
图片尺寸830x546
一种耐高灼热丝温度的聚苯醚/苯乙烯类树脂组合物
图片尺寸1417x567
🧪 有机化学命名挑战:醚与酯的奥秘 🍯
图片尺寸782x966
而来的神奇分子,拥有2个或更多异戊二烯单位
图片尺寸521x313
当r与r′相同时,称简单醚;r与r′不同时,称混合醚
图片尺寸1206x1706
🔥peek膜:高性能材料的奥秘🔬
图片尺寸512x226
对称二氯二甲醚
图片尺寸484x300
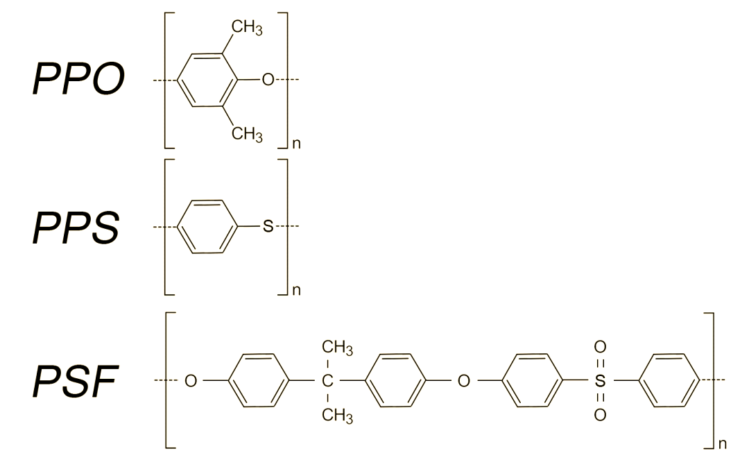
不断进步,科学家们已经成功研发出多种耐高温高分子材料,如聚苯醚ppo
图片尺寸1080x650
丙二醇乙醚是重要的精细化工产品,在涂料,油墨,皮革,染料,颜料
图片尺寸592x225
醚的命名
图片尺寸1280x1706
聚醚砜分子结构式为:此前,聚醚砜(英文名称:polyether sulfone)的化学
图片尺寸554x194
聚醚
图片尺寸800x639
温和条件,酯直接还原为醚!
图片尺寸1080x886