渐开线方程

文档 所有分类 高等教育 工学 机械原理-齿轮重点ppt 三,渐开线方程 1
图片尺寸1080x810
渐开线参数方程
图片尺寸920x1303
从数学角度解释渐开线方程
图片尺寸1173x819
这就是圆的渐开线的参数方程.
图片尺寸1080x810
文档 所有分类 自然科学 物理 齿轮机构及其设计ppt 二,渐开线方程式
图片尺寸1080x810
这就是圆的渐开线的参数方程.
图片尺寸1080x810
双曲线方程 x2 y2 2 0 2 a b x2 y 2 2 1 (a 0,b 0 ) 中
图片尺寸1080x810
y y f2 b1 a1 a2 o f2(0,c) x f1(0,-c) b1 f2(c,0) f2 x a1o f1 方程
图片尺寸1080x810
2 双曲线的简单几何性质(2)ppt 法一:直接设标准方程,运用待定系数法
图片尺寸1080x810
所有分类 工程科技 机械/仪表 10齿轮机构及其设计ppt 3,渐开线方程式
图片尺寸1080x810
2015考研数学高等数学知识点总结:渐近线
图片尺寸529x241
渐开线方程及其特性说课
图片尺寸920x1302
那个已知双曲线渐近线方程为y=bx/a可设双曲线方程为x^2/a^2-y^2/b^2=
图片尺寸1600x1037
椭圆 几何条件 标准方程 顶点坐标 对称轴 焦点坐标 与两个定点的
图片尺寸1080x810
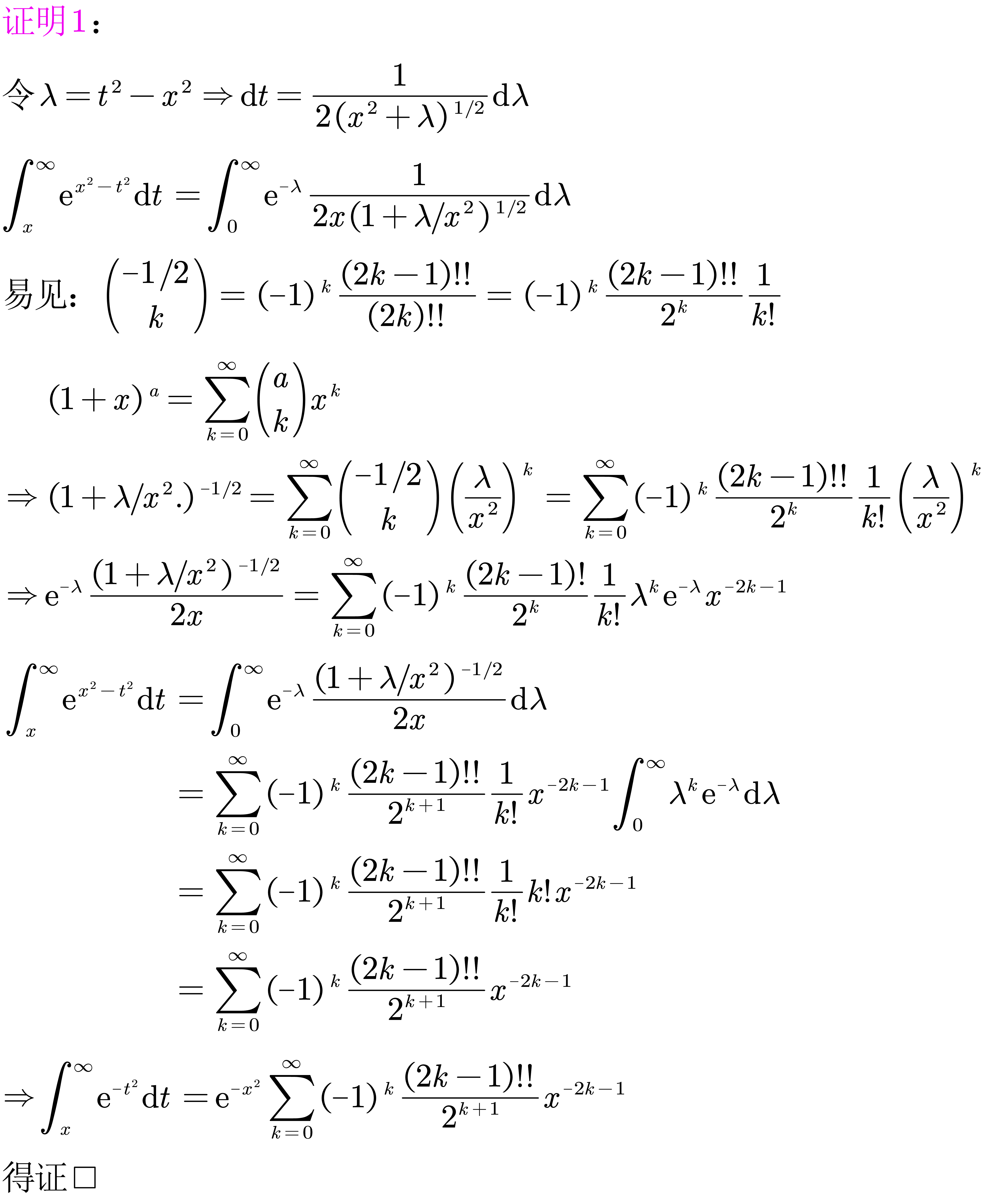
从几个特殊函数的渐近展开到从纯粹直观推导斯他林公
图片尺寸4788x5825
求函数的渐近线,要过程,正解必采纳,谢谢啦
图片尺寸1040x780
之渐近线ppt 问题引导,自我探究 1,焦点在x轴的双曲线渐近线方程为 b
图片尺寸1080x810
(29张ppt) 结论:2 x y2 x2 y2 x y 1)双曲线 2 2 的渐近线方程是
图片尺寸1080x810
金太阳教育网 3,渐开线的参数方程 http://www.51wendang.
图片尺寸1080x810
在线问答
图片尺寸700x802