潢川县志

潢川县志(1992年一版一印)
图片尺寸1200x900
潢川县志(潢川县史志办主任 签名本)9787108005311生活·读书·新知
图片尺寸800x800
潢川县志1987-2001
图片尺寸450x600
潢川县志
图片尺寸1200x1200![[潢川县志] 图书价格_书籍图片_网购评论_孔夫子旧书网](https://i.ecywang.com/upload/1/img1.baidu.com/it/u=2543312213,3741671554&fm=253&fmt=auto&app=138&f=JPEG?w=490&h=600)
[潢川县志] 图书价格_书籍图片_网购评论_孔夫子旧书网
图片尺寸490x600
【二手9成新】潢川县志 1987-2001 彭长海主编 中州古籍出版社
图片尺寸240x300
潢川县志
图片尺寸1200x1200
新年收到的最开心的礼物,史志办陈主任给我送来了潢川县志和20 - 抖音
图片尺寸1920x946
河南省地方志系列丛书------信阳市系列------【潢川县志】---大缺本
图片尺寸1200x1784
河南省潢川高级中学
图片尺寸960x1280
何麟书手迹
图片尺寸300x392
研读历代《麻城县志》关于麻城建置沿革的文字,文献记载西阳位置为"古
图片尺寸617x823
潢川【产业】
图片尺寸622x797
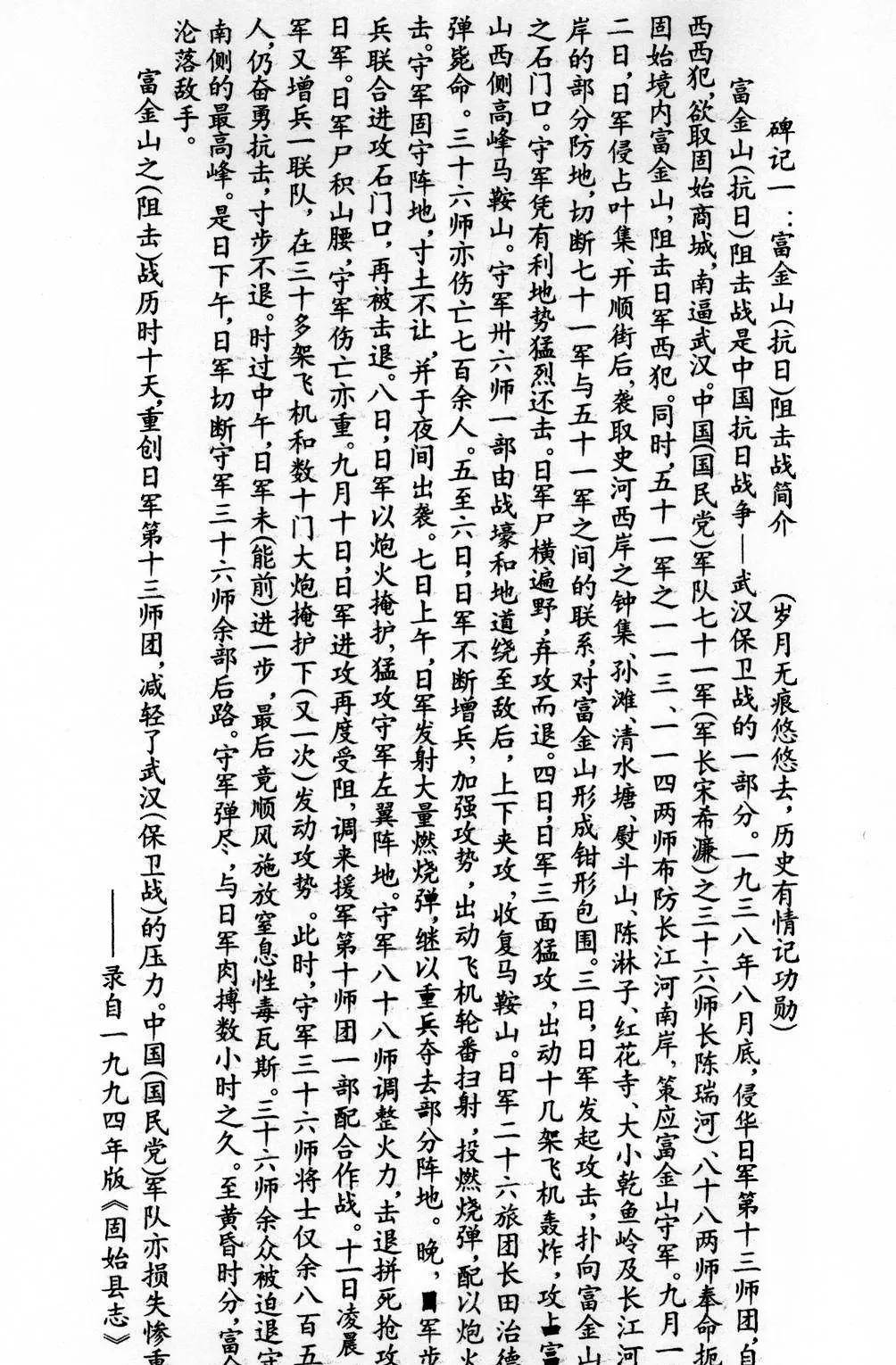
固始县富金山阻击战71军激战十昼夜万余人的36师仅剩800壮士
图片尺寸1004x1530
公告202435号潢川县人民政府征收土地公告
图片尺寸1200x1702
弋阳县属于哪个市江西弋阳县根在潢川弋阳五年后规划铅山区
图片尺寸640x460
史上最全中国2843个县级政权得名由来河南篇下
图片尺寸660x456
光黄古道古驿郡麻城古西阳纪事
图片尺寸640x540
生肖猪代表什么花,风水之大门进看到电饭锅开关,潢川县志有明朝时期的
图片尺寸400x566
我的家乡河南潢川
图片尺寸452x550