热传导方程

热传导方程是什么?
图片尺寸640x386
导热微分方程
图片尺寸750x780
高等传热学基本方程推导
图片尺寸920x1302
热传导方程
图片尺寸1080x810
传热基本公式 第一节热传导 1.
图片尺寸502x708
热传导方程
图片尺寸1082x812
一维热传导方程的推导doc5页
图片尺寸792x1120
阶方程基本知识 波动方程热传导方程laplace方程定解问题适定性求解法
图片尺寸800x800
热传导的偏微分方程
图片尺寸1000x1399
一维热传导方程的差分法
图片尺寸1023x1467
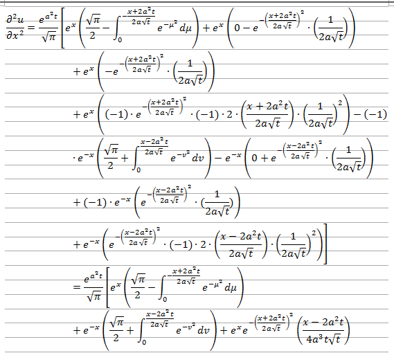
运用傅里叶变换法求解三维热传导方程的柯西问题初值问题是否可行
图片尺寸569x510
配图解释很清晰,教师授课,学生自学必备 一,导热微分方程 具有内热源
图片尺寸1170x810
绝热过程公式对照表 过程方程 p 常量 等体 v=常量 t v 常量 等压
图片尺寸1080x810
热传导方程~~ppt
图片尺寸1080x810
热传导的偏微分方程
图片尺寸1000x1399
你可能喜欢 机械创新设计大赛 传热学总结 一维稳态导热 热传导计算
图片尺寸617x431
双层圆筒壁的热传导分析
图片尺寸874x395
热力学公式
图片尺寸1092x587
数学物理方程偏微分方程第二章热传导方程
图片尺寸1796x2500
传热方程式
图片尺寸1077x808