烯丙基醇结构式

best-reagent.com|丙烯醇的化学品结构图
图片尺寸200x200
烯丙基醇-d5结构式图片|102910-30-5结构式图片
图片尺寸605x375
m813324 甲代烯丙基醇, 98%
图片尺寸300x250
甲代烯丙基醇结构式
图片尺寸250x250
丙烯 分子结构式
图片尺寸449x359
烯烃
图片尺寸379x314
丙烯结构式
图片尺寸185x132
丙烯分子中,三个碳原子不共线,由于乙烯基(-ch=ch2)为平面结构,甲基为
图片尺寸798x532
烯丙基二甘醇二碳酸酯结构式
图片尺寸342x255
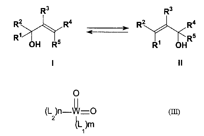
烯丙基醇的异构化方法
图片尺寸709x473
常用的有玻璃和树脂材料,如聚碳酸酯polycarbonates或聚烯丙基二甘醇
图片尺寸571x697
丙烯,丙炔的结构简示和分子式是什么?(把碳氢键表示出来)
图片尺寸500x400
乙烯 丙烯 氯乙烯 丙烯腈 丙烯酸 醋酸乙烯酯 丁二烯 乙炔 单体结构简
图片尺寸1080x810
大蒜素
图片尺寸877x465
丙醇的结构式,结构简式,分子式,电子式,键线式,最简式
图片尺寸1434x673
烯丙基磺酸钠|allylsulfonic acid sodium salt|2495-39-8|adamas|98%
图片尺寸565x397
烯丙基醇能与哪些化合物发生化学反应
图片尺寸1042x706![[0061]efs-1080t 支链型脂肪醇聚氧乙烯醚,含10个eo [0062] ae-300](https://i.ecywang.com/upload/1/img0.baidu.com/it/u=3158429825,3641119872&fm=253&fmt=auto&app=138&f=JPG?w=499&h=220)
[0061]efs-1080t 支链型脂肪醇聚氧乙烯醚,含10个eo [0062] ae-300
图片尺寸699x308
烯丙基正丁基甲醇结构式图片|40575-42-6结构式图片
图片尺寸605x375
1123-34-8 | 1-烯丙基环己醇 ,ccd00017909,mfcd00021403 - product
图片尺寸363x225