烷基苯结构式

苯的分子结构
图片尺寸666x666
十二烷基苯
图片尺寸268x201
2《有机化合物的结构特点》课件(新人教版选修5)ppt
图片尺寸1080x810
苯的结构式是什么?有两个呢哦
图片尺寸386x400
123-01-3 烷基苯 结构式图片
图片尺寸300x300
苯的结构简式!苯物理性质是什么
图片尺寸750x300
苯的分子结构式
图片尺寸500x394
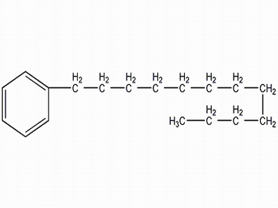
正十二烷基苯结构式
图片尺寸415x255
p>十二烷基苯是一种芳香烃化合物,分子式为c sub>6 /sub>h sub>5
图片尺寸400x300
苯 分子结构式
图片尺寸319x354
苯的结构式
图片尺寸294x201
高二人教化学课件 苯ppt
图片尺寸1080x810
十九烷基苯结构式
图片尺寸250x250
十三烷基苯结构式
图片尺寸415x255
一,苯的组成和结构 1,分子式: 2,结构式: c 6h 6 h c h c h c c h c h
图片尺寸1080x810
十二烷基苯结构式
图片尺寸307x227
二,苯 一苯分子的结构 1.分子式:c6h6 2.
图片尺寸1080x810
苯分子不含炭炭双键的依据
图片尺寸287x293
十二烷基苯 (硬型)结构式
图片尺寸250x250
十二烷基苯
图片尺寸208x137