熵值法

熵值法求权重的具体步骤
图片尺寸920x1302
excel熵值法计算权重评价算法01熵权法确定权重
图片尺寸500x250
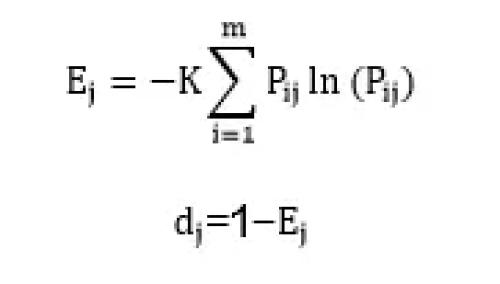
p>熵值法是指用来判断某个指标的离散程度的数学方法.
图片尺寸436x407
熵值法
图片尺寸389x122
传说中的熵值法起底大揭秘!
图片尺寸1242x1660
熵权法基础教学
图片尺寸1046x768
熵值法求权重的具体步骤
图片尺寸920x1303
层次分析法ahp 模糊综合评价 灰色关联度 熵值法 topsis
图片尺寸800x800
用excel将熵值法的计算简化了熵值法求权重的具体步骤
图片尺寸517x547
如何用python实现熵值法求指标权重实例
图片尺寸736x550
样本不确定性度量 - csdn
图片尺寸660x406
熵值法
图片尺寸462x254
熵值法求权重的具体步骤之欧阳治创编
图片尺寸920x1301
基于层次分析法熵值法综合赋权的模糊综合评价
图片尺寸1211x455
熵权法极差法标准化简介与实战
图片尺寸1522x779
p>熵值法是指用来判断某个指标的离散程度的数学方法.
图片尺寸531x349
数学建模笔记评价类模型之熵权法
图片尺寸1014x715
excel信息熵法求权
图片尺寸523x300
不通过,则返回第二步重新选择解释变量; 第五步,通过熵值法计算权重
图片尺寸500x284
机器学习最大熵模型
图片尺寸434x244