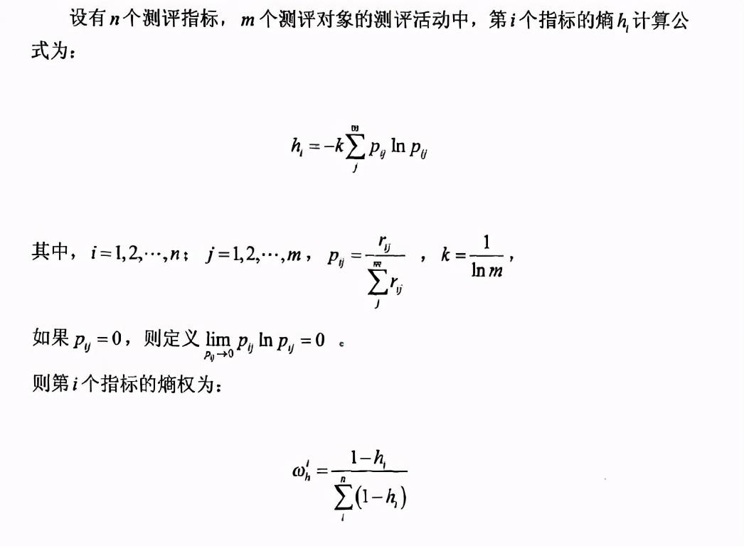
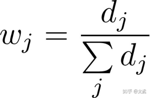
熵权法

熵权法基础教学
图片尺寸1056x1086
熵权法极差法标准化简介与实战
图片尺寸1522x779
熵权法基础教学
图片尺寸1046x768
excel熵值法计算权重评价算法01熵权法确定权重
图片尺寸500x250
样本不确定性度量 - csdn
图片尺寸660x406
熵权法指标权重确定pptppt
图片尺寸860x645
数学建模笔记评价类模型之熵权法
图片尺寸1014x715
第一组熵权法ppt
图片尺寸1080x810
周四学习卡——matlab学习之熵权法
图片尺寸427x650
一篇文章教会你熵权法的应用
图片尺寸774x261
和老师探讨毕业论文的题目大概确定题目方向和范围之后
图片尺寸739x578
数学建模熵权法
图片尺寸2014x1376
熵权法有没有什么局限性? - 知乎
图片尺寸617x365
综合评价之熵权法
图片尺寸500x326
数学建模笔记评价类模型之熵权法
图片尺寸1009x694
熵权法在matlab中的代码实现
图片尺寸1080x1080
【2022辽宁省赛赛前培训】【熵权法】
图片尺寸1728x1080
熵权法
图片尺寸1080x810
数学建模熵权法
图片尺寸2051x1348
熵权法求权重含matlab代码
图片尺寸987x869