物理公式手写

初中物理公式汇总
图片尺寸1080x1439
手写版八年级物理公式 很多人都说八年级上学期物理简单,其实打 - 抖
图片尺寸1080x2132
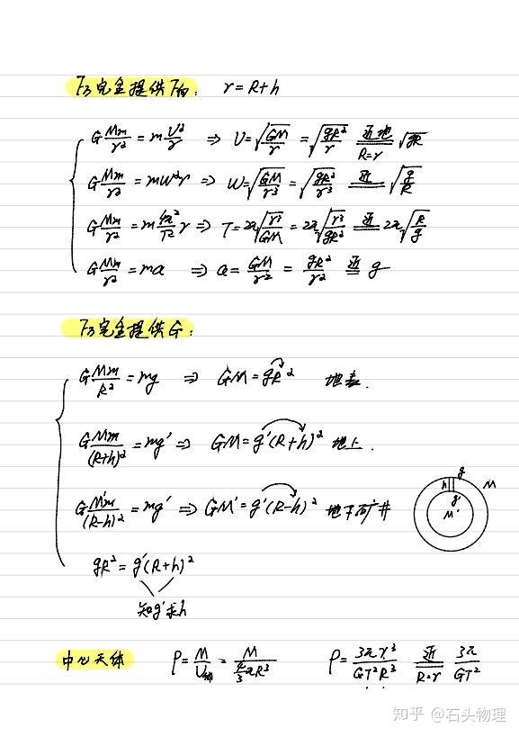
初中物理公式总结01手写版
图片尺寸1079x801
初中物理公式总结01手写版
图片尺寸1079x791
手写版物理公式分享,送考路上都值得看的内容!
图片尺寸640x881
磊哥手写版12张公式表搞定物理期末考高一
图片尺寸577x819
高中物理机械波求周期
图片尺寸856x952
高考物理公式大全 #高考物理 #高中物理 #高一 #一轮 - 抖音
图片尺寸1080x1440
诱导公式化简求值……求大神……要步骤……最好用手写的照下来
图片尺寸1920x2560
手写初中物理考前归纳和力学公式!#中考 #初中物理 #物理 - 抖音
图片尺寸1362x1920
物化多组分系统热力学纯公式
图片尺寸1080x748
跪求高一物理必修一的所有公式,(别百度,文字态太多)24号就报名了
图片尺寸780x1052
高一物理必修一第一章运动的描述所有公式
图片尺寸2048x1536
为什么要做特征归一化
图片尺寸4032x3016
手写版初中物理公式,最后一个月,2023中考加油! - 抖音
图片尺寸1074x1404
问各位几个物理题(要有过程),好的追加50(过程好加100).求高人,谢了
图片尺寸2448x3264
求高中物理必修一,必修二的公式,是比较完整的
图片尺寸360x480
初中物理公式总结01手写版
图片尺寸1079x801
手写版物理公式分享,送考路上都值得看的内容!
图片尺寸640x579
初中物理公式总结01手写版
图片尺寸1079x635