状态迁移图

3-杜冕-状态迁移图流程图作业
图片尺寸768x404
状态转移图
图片尺寸661x333
时钟程序状态迁移图
图片尺寸968x788
状态迁移图法
图片尺寸1426x791
软件测试—状态迁移图测试用例设计方法
图片尺寸640x284
apb状态转移图
图片尺寸1070x976
(1)画出状态迁移图(2)通过状态迁移图画出状态转换树
图片尺寸679x405
系统的状态转移图
图片尺寸510x199
tcp状态迁移图
图片尺寸824x1052
状态迁移图法
图片尺寸554x313
(1)画出状态迁移图(2)通过状态迁移图画出状态转换树(3)从状态转换树
图片尺寸672x363
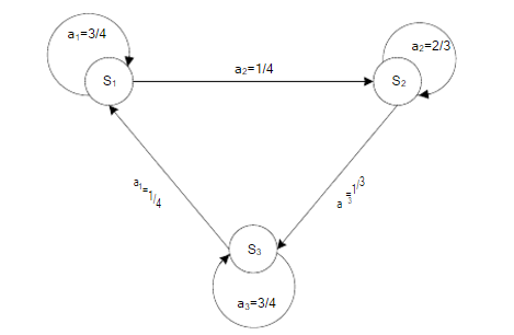
一个二元一阶马尔可夫信源的状态转移图如图36所示计算当p1202p2103时
图片尺寸469x306
帧解析模块的状态转移图
图片尺寸1056x571
图 7 pe 模块主状态转移图
图片尺寸742x447
图 双机热备自律机系统的状态转移图
图片尺寸1575x1088
转移是由一种状态到另一种状态的迁移.
图片尺寸1040x556
i2c状态转移图
图片尺寸872x551
状态迁移图
图片尺寸749x601
状态转移图
图片尺寸856x485
马尔可夫状态转移图
图片尺寸443x378