环孢素结构

环孢素
图片尺寸400x400
环孢素 a
图片尺寸484x300
环孢素结构式图片
图片尺寸605x375
免疫抑制剂环孢素的化学结构,最初从真菌中分离 (图片来源:参考资料[1
图片尺寸473x293
吉环孢素结构式
图片尺寸410x265
环孢菌素a|cyclosporin a|59865-13-3|wako|||200mg
图片尺寸2243x1333
环孢素
图片尺寸500x500
关于环孢素也许你想了解这些
图片尺寸400x400
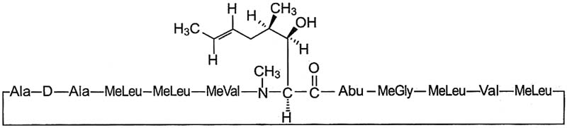
图1.环孢素的化学结构式
图片尺寸334x206
6-meala-环孢素 a结构式图片|111710-61-3结构式图片
图片尺寸605x375
奥环孢素结构式
图片尺寸386x258
环孢菌素h
图片尺寸795x371
p>田可( a target="_blank" href="/item/环孢素软胶囊/4391769"
图片尺寸800x181
双氢环孢菌素h
图片尺寸305x229
杭州诺扬生物技术有限公司
图片尺寸317x228
环孢菌素a词条图册_百度百科
图片尺寸555x294
奥环孢素, 135548-15-1, 结构式
图片尺寸293x194
环孢霉素a
图片尺寸600x600
环孢霉素d
图片尺寸300x300
环孢菌素代谢物 m17结构式_89270-28-0结构式
图片尺寸300x300