环戊烷分子模型

浏览量623 3d 分享 0 环戊烷(平面型构象)分子的3d模型,将抽象的分子
图片尺寸700x395
环戊烷(信封型构象)
图片尺寸450x253
环戊烷
图片尺寸181x181
环戊烷(信封型构象)
图片尺寸450x253
戊烷的化学性质以及用途
图片尺寸603x600
环戊烷
图片尺寸300x295
环戊烷的h-nmr图谱中只有一个峰,因此一取代物只有一种.
图片尺寸1213x1258
分子模型戊烷球棍尺寸有机化学演示立体教学仪器教学仪器
图片尺寸800x683
求助求教环己烷环己烯环己二烯
图片尺寸618x448
这题在其它书上看过一个奇怪的解释,说标准五元环键角108度,更接近
图片尺寸720x554
环戊二烯环戊二烯分子的结构,在白色背景上照片
图片尺寸306x300
1-环戊烷羧酸 英文名称 cyclopentanecarboxylicacid, 3-oxo- 分子式
图片尺寸400x400
环戊烷市场分析报告
图片尺寸526x500
中文名称: 环戊烷 分子结构: c原子以sp3杂化轨道形成σ键.
图片尺寸500x357
2532-58-3_二甲基环戊烷cas号:2532-58-3/二甲基环戊烷中英文名/分子
图片尺寸605x375
1528-30-9结构式
图片尺寸400x400
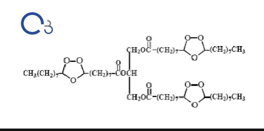
有机 这个结构分子的名字是什么 rockfeller 1,2,4-三氧杂环戊烷
图片尺寸900x446
将碳五烷烃通过精馏方式生产异戊烷,正戊烷和环戊烷产品,可以根据沸点
图片尺寸544x309
ag是几种烃分子的球棍模型如图据此回答下列问题
图片尺寸402x231
环戊烷的化学式(左侧),结构简式(右
图片尺寸640x261