环氧丙烷分子式

环氧丙烷
图片尺寸300x300
1,2-环氧丙烷,epoxypropane
图片尺寸1024x1024
环氧丙烷开环聚合的反应式
图片尺寸960x540
p>环氧丙烷,又名氧化丙烯,甲基环氧乙烷,1,2-环氧丙烷,化学式为c sub
图片尺寸492x199
编号 :5828名称 :s-环氧丙烷cas :16088-62-3mdl :mfcd00064312分子量
图片尺寸484x300
p>环氧丙烷,又名氧化丙烯,甲基环氧乙烷,1,2-环氧丙烷,化学式为c sub
图片尺寸586x297
环氧丙烷,又名氧化丙烯,甲基环氧乙烷,是非常重要的有机化合物原料,是
图片尺寸268x268
12环氧丙烷
图片尺寸257x98
po-环氧丙烷-po分子
图片尺寸2155x2342
环氧丙烷
图片尺寸718x401
环氧丙烷价格刷新年内低点
图片尺寸1200x900
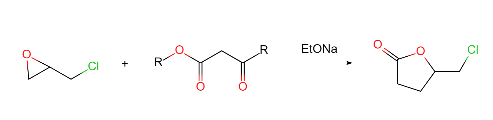
p>环氧氯丙烷(epichlorohydrin),又名3-氯-1,2-环氧丙烷,是一种有机
图片尺寸1691x413
硅氧烷,二甲基硅氧烷共聚环氧乙烷,环氧丙烷 中文别名: 羟基封端的乙
图片尺寸500x500
r-环氧氯丙烷
图片尺寸826x341
1,2-环氧丙烷|1,2-epoxypropane|75-56-9|参数,分子结构式,图谱信息
图片尺寸283x227
s-环氧丙烷
图片尺寸819x558
环氧丙烷 cas :558-30-5 mdl :mfcd00066354 einecs :209-193-8 分子
图片尺寸484x300
p>环氧氯丙烷(epichlorohydrin),又名3-氯-1,2-环氧丙烷,是一种有机
图片尺寸528x352
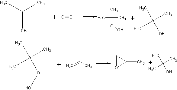
环氧丙烷的制备
图片尺寸467x204
环氧氯丙烷 - 化工百科
图片尺寸775x449