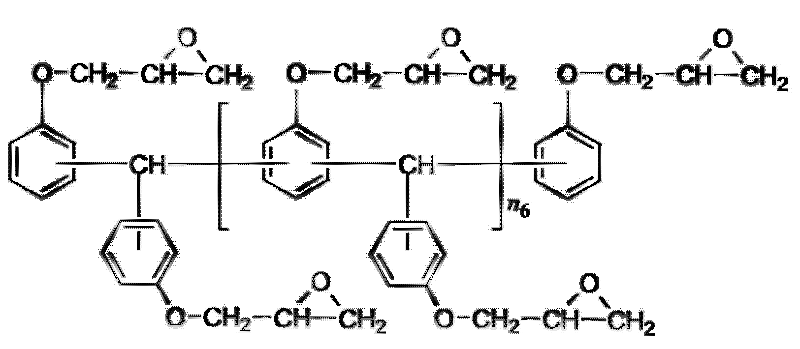
环氧树脂 结构式

环氧树脂化学结构
图片尺寸526x207
环氧树脂是什么
图片尺寸441x103
环氧树脂的种类.改性及应用ppt
图片尺寸1080x810
脂环族环氧树脂结构式
图片尺寸605x375
环氧树脂结构与性能ppt
图片尺寸1080x810
树脂的结构式
图片尺寸472x123
结构式 :双酚f型环氧树脂,又称双酚f二缩水甘油醚,简称bfe,是由苯酚与
图片尺寸414x215
溴化环氧树脂
图片尺寸500x500
所有分类 高等教育 工学 环氧树脂ppt 环氧树脂 其化学结构式为: 其
图片尺寸1080x810
双酚a型环氧树脂作主要组分的涂料制备
图片尺寸529x413
mdi/有机硅预聚体改性环氧树脂的研究
图片尺寸574x222
广东盛哲新材料有限公司
图片尺寸285x186
高纯度系列邻甲酚醛环氧树脂(eocn6000)
图片尺寸478x174![[0040][0039] 三酚基甲烷型环氧树脂和四酚基乙烷型环氧树脂可以提高](https://i.ecywang.com/upload/1/img1.baidu.com/it/u=4142584065,94127566&fm=253&fmt=auto&app=138&f=JPEG?w=1144&h=500)
[0040][0039] 三酚基甲烷型环氧树脂和四酚基乙烷型环氧树脂可以提高
图片尺寸1625x710
badge
图片尺寸575x159
1,2-环氧树脂-3-(二-2,6-二甲苯基甲氧基)丙烷
图片尺寸484x300
5eh-12dmi2-苯基咪唑环氧树脂c9h8n2670-96-24eh-2pi2-甲基咪唑环氧
图片尺寸337x264
环氧树脂胶
图片尺寸300x300
1,3-二溴-5,5-二甲基海因dbdmh粉剂 cas no. 77-48-5
图片尺寸482x328
环氧树脂c2h4n4461-58-51eh-dicy序号列产品名结构式cas编号分子式
图片尺寸350x240