玻尔兹曼公式

到了二十世纪初,普朗克解决维恩定律和瑞利-金斯公式在
图片尺寸640x360
如何用玻尔兹曼分布推导大气压降高度的变化公式?
图片尺寸847x905
我们有黑洞面积a的公式和黑洞温度t的公式:事实上,详细的量子力学计算
图片尺寸640x454
distribution,如下:我们用如下的公式来表示两个图像之间的energy
图片尺寸494x164
从玻尔兹曼方程推出三个流体方程牛
图片尺寸1080x1439
如果你数学功底不扎实,南瓜书可以帮你解决公式理解问题.
图片尺寸640x367
活动作品熵1分钟推导玻尔兹曼熵公式
图片尺寸1688x1055
受限玻尔兹曼机(rbm)原理总结
图片尺寸1080x472
玻尔兹曼分布公式
图片尺寸570x228
普朗克公式推导斯忒藩-玻尔兹曼定律和维恩位移定律ppt模板
图片尺寸1200x2240
玻尔兹曼熵公式和熵增加原理ppt
图片尺寸1080x810
六.随机神经网络boltzmann(玻尔兹曼机)
图片尺寸239x223
量子力学课件完整版(老师版)ppt
图片尺寸1080x810
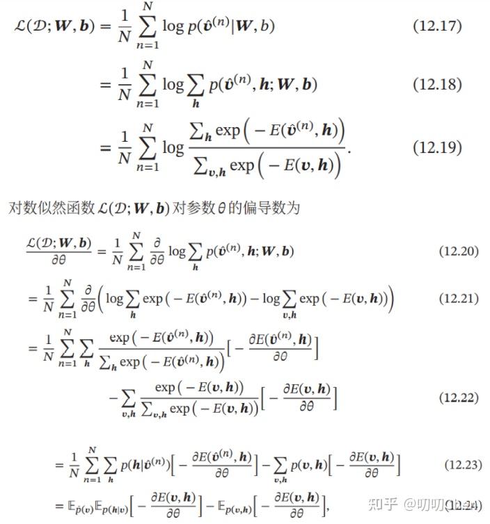
神经网络与深度学习邱锡鹏读书笔记第三部分第十二章深度信念网络
图片尺寸704x754
第二讲 物体的辐射(2学时)ppt
图片尺寸1080x810
5.1 卡尔曼滤波五步计算公式
图片尺寸639x407
高二物理竞赛玻尔兹曼分布函数课件_第1页
图片尺寸2000x1125
玻尔兹曼机bm
图片尺寸660x219
受限制玻尔兹曼机rbm的能量函数及其梯度求解
图片尺寸581x257
受限玻尔兹曼机原理及在推荐系统中的应用(达观数据
图片尺寸413x185