班级学生名单表

这是一年级某班级的学生名单表,可谓是取得很有水平,对于这些取名
图片尺寸690x858
一一班学生花名表
图片尺寸715x973
初2016级各班学生名单(包括学号)
图片尺寸502x1454
这些学生和班集体获得泉州荣誉_名单_南安市_部分
图片尺寸1080x464
其它 班级通知 写美篇班级通知 致学生家长: 随着疫情逐步
图片尺寸1920x2400
平陆县实验小学2019年一年级新生分班名单
图片尺寸926x1316
相关文档 三二班优秀 学生名单 三二班优秀 学生名单 班级
图片尺寸652x552
班级学生名单 word 文档 (2)
图片尺寸673x1054
306班学生名册
图片尺寸777x1083
第十小学2017年秋季四年级编班学生名单公示
图片尺寸1280x1810
二一班学生名单
图片尺寸721x1042
三年级二班学生名单
图片尺寸327x991
班级名单
图片尺寸688x1040
石桥中心小学2012-2013学年度第一学期表彰学生名单 班级: 班主任
图片尺寸668x1012
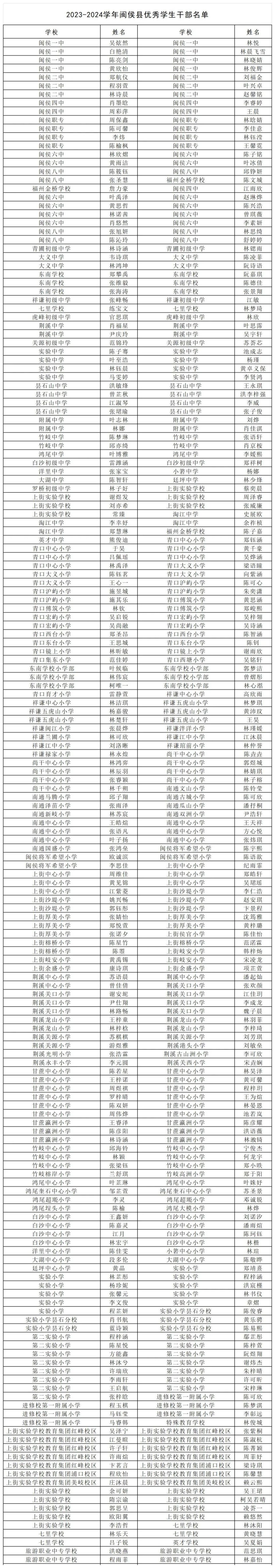
名单公布!祝贺闽侯这些班级和同学!
图片尺寸960x5474
2012级(2)班学生花名册
图片尺寸639x925
七年级新生分班名单
图片尺寸737x992
六二班学生花名册
图片尺寸671x1037
小学教育 其它课程 四一班学生名单 学校学生信息登记表 班级 四一 四
图片尺寸563x948
六年级一班学生花名册
图片尺寸701x1043