瑞利里兹法

瑞兹皮肤(符文法师皮肤手感排名)
图片尺寸360x300
瑞兹皮肤(符文法师皮肤手感排名)
图片尺寸980x500
瑞利里兹法ppt
图片尺寸1080x810
瑞利里兹法ppt
图片尺寸800x600
rayleighritz瑞立法课件
图片尺寸920x690
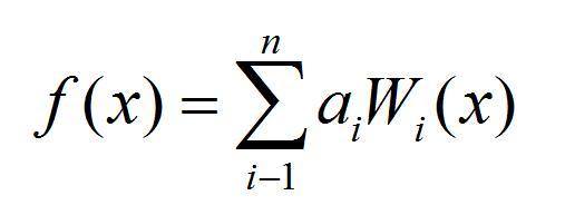
p>也称为里兹法,是通过泛函驻值条件求未知函数的一种近似方法.
图片尺寸683x194
瑞利里兹法
图片尺寸475x472
limitload结构稳定2
图片尺寸800x600
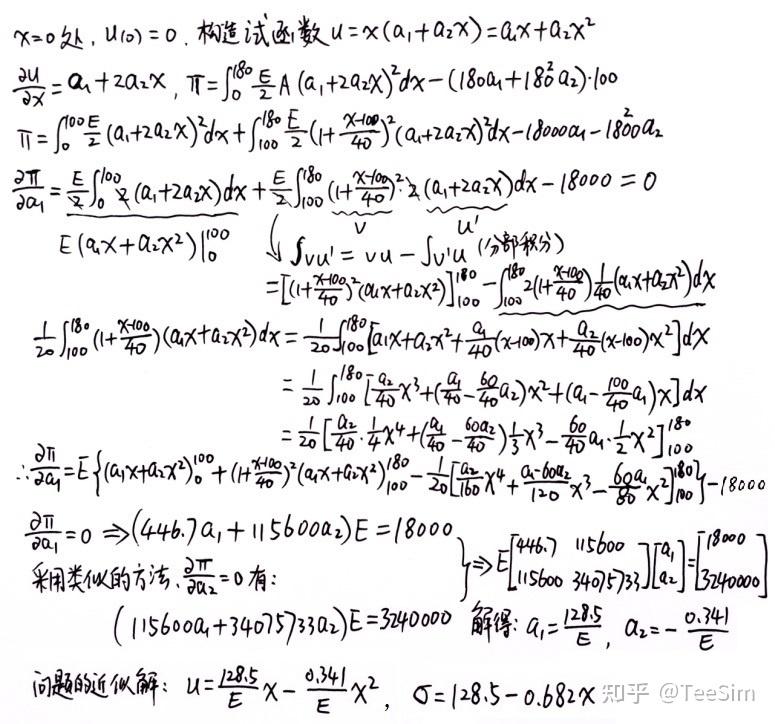
如何用瑞利里兹法求一阶特征值的近似解
图片尺寸437x172
瑞兹精彩操作,进来感受雷电法王的威力!_哔哩哔哩_bilibili
图片尺寸1152x720
瑞利-里兹法
图片尺寸220x219
自然科学 物理 计算结构力学2ppt 泛函积分方程 瑞利瑞利-里兹法 加权
图片尺寸1080x810
雷电法王!lols6中单瑞兹天赋符文出装攻略
图片尺寸800x408
能量法计算板的弹性失稳荷载 瑞利瑞利-里兹法 要求假定的挠曲面函数
图片尺寸1080x810
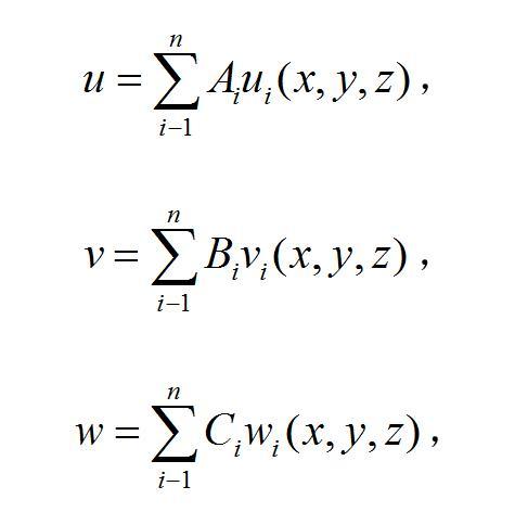
3阶固有频率和振型,采用的方法分别是(假设模态法,解析法,瑞利里兹法)
图片尺寸1190x799
瑞利里兹法
图片尺寸507x184
瑞利-里兹法
图片尺寸197x46
求连续系统固有频率常用的近似方法: 瑞利法;瑞利—里兹法; 假定振
图片尺寸1080x810
excel解有限元(4)-里兹法 (ritz method) - 知乎
图片尺寸775x724
3变分原理与里兹法ppt
图片尺寸1080x810