瓜尔胶结构

瓜尔胶
图片尺寸1374x969
半乳糖与甘露糖的比值为1:2,见结构式:在采油中,瓜尔胶主要用作增粘剂
图片尺寸748x487
瓜尔胶试剂石材
图片尺寸1600x1212
羟丙基瓜尔胶
图片尺寸529x344
瓜尔胶
图片尺寸633x412
瓜尔胶
图片尺寸484x300
瓜尔胶的类型,性能特点
图片尺寸310x345
瓜尔胶酶分解物基本构造
图片尺寸810x629
瓜尔豆胶 | 来源:wikipedia
图片尺寸1080x602
一种羧甲基二羟丙基改性瓜尔胶及其制备方法和应用与流程
图片尺寸550x322
瓜尔胶
图片尺寸139x91
透明瓜儿胶
图片尺寸3912x2487
羟丙基瓜尔胶的制备及表征
图片尺寸919x413
瓜尔豆胶与改性淀粉的协效性及配比研究
图片尺寸988x384
瓜尔豆胶
图片尺寸605x375
可降解自愈合壳聚糖复合醛基化瓜尔胶水凝胶及其制备方法和应用与流程
图片尺寸1000x675
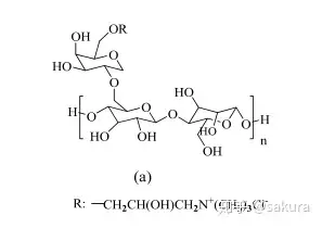
(阳离子瓜尔胶结构式)如果你使用的无硅油洗发水也出现了此类状况
图片尺寸297x210
一种高强度聚丙烯酰胺阳离子瓜尔胶离子导电凝胶的制备方法
图片尺寸1741x1471
qbt22461996食品添加剂瓜尔胶
图片尺寸800x1091
瓜尔胶为大分子天然亲水胶体
图片尺寸656x1167