甘肃成州中学

教育振兴 ∣ 春风化雨润桃李——成州中学_发展_建设_工作
图片尺寸1080x720
成州中学
图片尺寸400x260
成州中学
图片尺寸500x375
成县第一中学2024年8月15日成州中学搬迁公告按照县委,县政府
图片尺寸1080x764
陇南#成县第一中学,正式更名为成州中学!
图片尺寸690x428
陇南#成县第一中学,正式更名为成州中学!
图片尺寸690x341
"我们这十年61成县" | 加快教育振兴 建设教育强县
图片尺寸1080x689
公告 | 关于成县第一中学,成州中学,成县第二中学搬迁公告
图片尺寸1080x809
青春心向党,百年铸辉煌#成州中学主演文艺汇演#庆祝党的二十 - 抖音
图片尺寸1440x1080
天水师范学院优质生源基地授牌仪式在陇南市徽县第三中学成州中学举行
图片尺寸950x537
成州中学"青春筑梦强国有我"主题文艺展演.成县成州中学"青春 - 抖音
图片尺寸1920x1440
成州高中体育馆图片
图片尺寸960x720
成县第一中学2023年高中招生简章
图片尺寸1080x717
成县成州中学2024级高一新生录取名单榜示
图片尺寸1080x1494
成县一中成州中学2021年高中招生录取通告
图片尺寸1080x1595
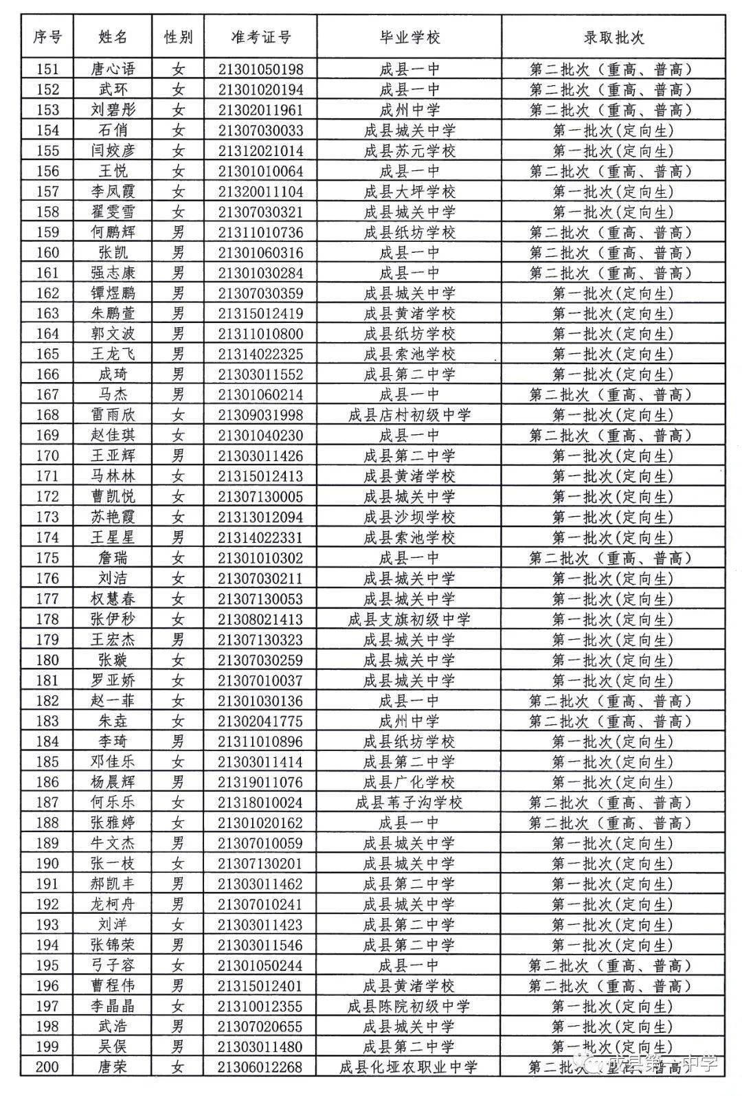
成县成州中学2024级高一新生录取名单榜示
图片尺寸1080x1494
成县成州中学2024级高一新生录取名单榜示
图片尺寸1080x1494
甘肃省体育局
图片尺寸3264x3264
中考百日誓师大会
图片尺寸1920x1440
我校在成县成州中学举行"教育硕士专业学位研究生联合培养基地"授牌
图片尺寸1024x574