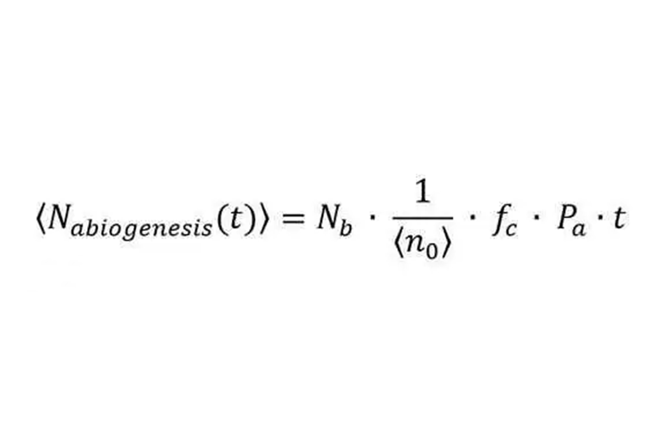
生命方程式

id="513683">哥伦比亚大学天体物理学家caleb scharf提出的方程式
图片尺寸2256x1508
🔍探索无氧呼吸与细胞呼吸的奥秘,让我们一起揭开生命的呼吸之谜!
图片尺寸1219x1657
学习碎片/ 呼吸作用和光合作用的反应方程式
图片尺寸1280x1706
🔍生命密码1
图片尺寸1080x1413
探索生命的秘密:dna复制之旅 🧬
图片尺寸559x461
当中的运动变化非常类似,曾经著名的物理学家爱因斯坦提出质能方程式
图片尺寸1200x1166
海外直订equations of life 生命方程式
图片尺寸800x800
🔍 1-9生命密码全解析
图片尺寸1080x1410
🧬🔍 有机化学方程式的奥秘探索
图片尺寸1080x1522
反三角函数与反双曲函数的泰勒级数展开式
图片尺寸1600x1432
🔍生命密码三角测算解析
图片尺寸1080x1413
初中化学方程式汇总:轻松掌握,高分无忧
图片尺寸1080x1410
生命之轮:活出喜欢的自己
图片尺寸1242x1630
大学有机化学方程式
图片尺寸1920x2560
生命数字3:永远的宝宝🍼
图片尺寸1080x1413
🌍探索生命奥秘:生物结构图详解
图片尺寸1920x2553
探索生命演化的奥秘 🌿🦖🌍
图片尺寸1080x1409![[不看][不看] 18小时前·河北 4 分享 回复 谈生命](https://i.ecywang.com/upload/1/img0.baidu.com/it/u=689693191,2506153317&fm=253&fmt=auto&app=138&f=JPEG?w=800&h=1575)
[不看][不看] 18小时前·河北 4 分享 回复 谈生命
图片尺寸1024x2016
生命的数字密码,81组联合数字码
图片尺寸1060x1307
周易与人体生命方程式解秘 /刘文秀 山西科学技术
图片尺寸1600x1600