生物糖胶-1

【生物糖胶-1】原料产地:欧洲 专利号:ep0805850b1bioactive生物糖胶
图片尺寸750x907
韩国进口生物多糖胶-1生物糖胶超强保湿舒缓减敏抗衰老改善红血丝
图片尺寸737x578
生物糖 胶
图片尺寸222x143
有家美方生物糖胶弹润眼霜淡化黑眼圈细纹去皱抗衰老提拉紧致15g
图片尺寸800x800![2023年全球生物糖胶-1主要应用领域及供应商分析[图]_共研_市场_功能](https://i.ecywang.com/upload/1/img1.baidu.com/it/u=1354428217,1794957832&fm=253&fmt=auto&app=120&f=JPEG?w=711&h=400)
2023年全球生物糖胶-1主要应用领域及供应商分析[图]_共研_市场_功能
图片尺寸750x422
无忧文档 所有分类 自然科学 生物学 2012 荧光定量pcr-workflow rna
图片尺寸1080x810
可以深层滋润皮肤,添加了尿囊素和生物糖胶等,2
图片尺寸1080x608
九成人不知蟑螂天敌是什么房间内放上1个它蟑螂跑光了
图片尺寸640x427
玉米和大豆发酵的生物糖胶-1由玉米和大豆经过细菌发酵获得的一种含有
图片尺寸800x528
雪柔雅皙白面膜主要成分:烟酰胺,透明质酸钠,黄原胶,生物糖胶-1多角度
图片尺寸790x743
1080_1696竖版 竖屏
图片尺寸1080x1696
生物糖胶水结合能力很强,即使在低湿度的环境中,吸水效果也非常好
图片尺寸640x426
1080_1439竖版 竖屏
图片尺寸1080x1439
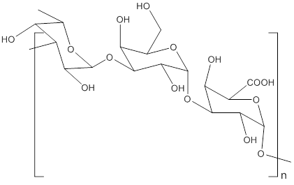
生物糖胶-1
图片尺寸421x265
九成人不知蟑螂天敌是啥屋里面放上它蟑螂集体消失了
图片尺寸592x587
这个品牌的私私清洁慕斯里面都是一些珍稀的成分红没药醇,生物糖胶-1
图片尺寸1080x1440
1080_1439竖版 竖屏
图片尺寸1080x1439
1080_1439竖版 竖屏
图片尺寸1080x1439
1/5合肥盛润生物制品有限公司3年实主营:瓜尔胶;木糖醇;果胶 ;硬脂酰
图片尺寸800x800
生物科技有限公司 新闻中心 行业新闻 > 褐藻糖胶厂家「产品包装】1
图片尺寸756x567