电缆线载荷表

全面汇总:不可或缺的电线电缆载流量对照表大全
图片尺寸1146x1258
vv,yjv,xlpe,bv等常见电缆载流量对照一览表,早晚用得到!excel可
图片尺寸960x1567
不会算电缆载流量的,看这些表就一目了然啦!#电缆人 #电线电
图片尺寸1112x1171
vv,yjv,xlpe,bv等常见电缆载流量对照一览表,早晚用得到!excel可
图片尺寸960x1558
建议收藏:常见电缆的载流量一览表
图片尺寸612x852
全面汇总:不可或缺的电线电缆载流量对照表大全
图片尺寸1148x1112
全面汇总:不可或缺的电线电缆载流量对照表大全
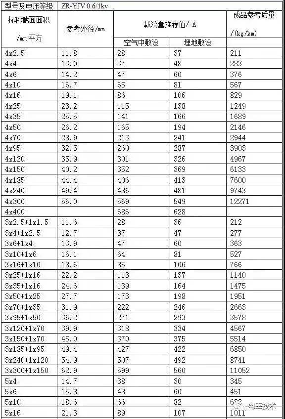
图片尺寸606x811
电气行业大咖整理!超全常用电缆载流量表,不看血亏
图片尺寸572x732
vv,yjv,xlpe,bv等常见电缆载流量对照一览表,早晚用得到!excel可
图片尺寸960x1031
全面汇总:不可或缺的电线电缆载流量对照表大全
图片尺寸1146x1160
这份电缆载流表电气人请低调使用
图片尺寸552x825
vv,yjv电缆载流量速查表
图片尺寸2209x3123
常见电缆电线载流量
图片尺寸1080x810
电缆载流量对照表大全
图片尺寸1754x2479
建议收藏:常见电缆的载流量一览表
图片尺寸576x848
vv,yjv,xlpe,bv等常见电缆载流量对照一览表,早晚用得到!excel可
图片尺寸565x941
电线电缆载流量
图片尺寸2631x3300
铜导线载流量表
图片尺寸1240x1753
电线空开载流量对照表,这下全明白了吧
图片尺寸720x1280
铜电缆载电流表
图片尺寸671x532