甾体结构式

《甾类化合物分子》课件
图片尺寸2400x1350
甾体
图片尺寸729x527
甾体药物
图片尺寸438x398
💊天然药物化学
图片尺寸1668x2388
一种天然来源结合雌激素药物中5种非甾体伴随成分的
图片尺寸1682x1054
甾体化合物
图片尺寸365x156
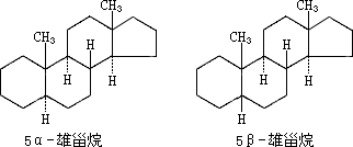
甾体化合物
图片尺寸322x134
摘要:本发明公开了一种高效低污染的依普利酮制备方法,属于甾体激素
图片尺寸1417x910
甾体化合物的颜色反应和强心苷类化合物
图片尺寸637x521
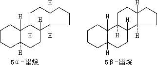
甾体化合物
图片尺寸322x134
类固醇激素,又称甾体激素,是一类四环脂肪烃化合物,具有图片尺寸961x715

甾体激素类知识点:1⃣️甾体药物结构及
图片尺寸1280x1707
一种从宽叶重楼中提取的甾体皂苷类化合物,方法及应用
图片尺寸1475x876
孕甾烷结构特点和典型代表三类甾体的结构根据甾体骨架角甲基和17
图片尺寸501x298
5,7-双烯甾类化合物的化学合成方法
图片尺寸1635x387
甾体药物
图片尺寸1200x900
药分第10章 甾体激素类药物的分析课件
图片尺寸1500x1125
甾体
图片尺寸413x158
螺内酯,是一种人工合成的甾体化合物,一种低效利尿剂,其结构与
图片尺寸1204x994
🍄灵芝三萜的奥秘🔍
图片尺寸1080x1561