相位谱和幅度谱

幅度谱和相位谱
图片尺寸1553x830
幅度谱和相位谱
图片尺寸1177x783
单边幅度谱与单边相位谱
图片尺寸1186x1585
幅度谱和相位谱
图片尺寸1242x1660
信号的相位谱和信号的幅度谱一样,是信号的
图片尺寸523x375
三相三线:a相,b相,c相每一个相位之间正弦波的幅度相差120°,假如三相
图片尺寸1757x940
频谱是时域信号进行傅里叶变换得到的但是相位参考谱是怎么求得的呢
图片尺寸1143x753
求幅度谱和相位谱过程中可能会用到的:三角函数恒等式化简
图片尺寸1741x865
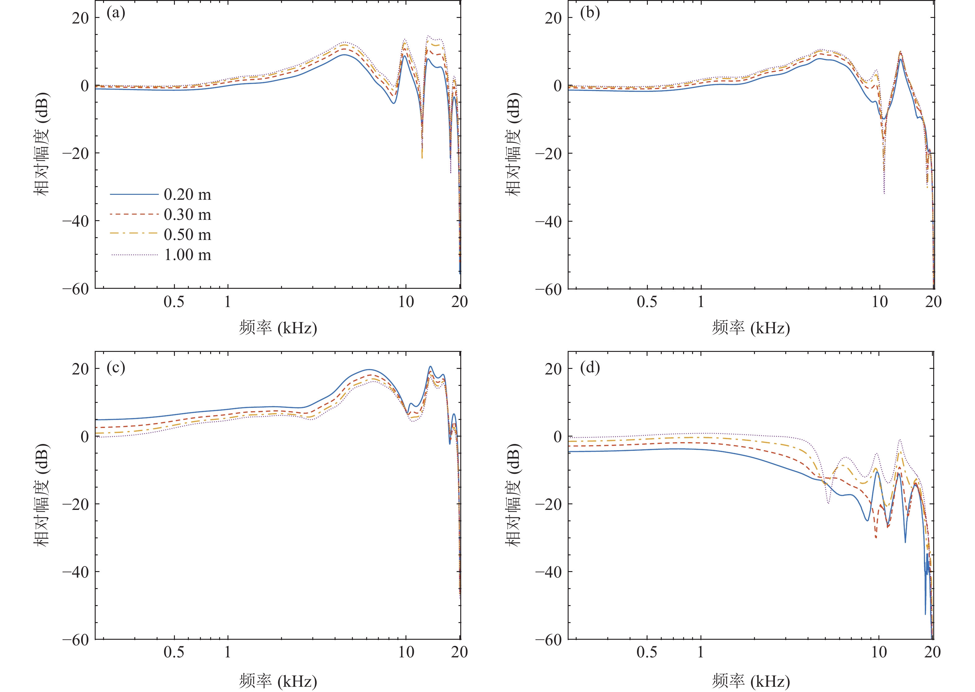
水平面不同距离左,右耳hrtf相对幅度
图片尺寸3150x2238
考研信号与系统:单边幅度谱vs单边相位谱
图片尺寸4284x5712
使用matlab求解信号的频谱图,幅度谱,相位谱
图片尺寸1567x861
信号的相位谱和信号的幅度谱一样,是信号的
图片尺寸568x510
幅度谱与相位谱专题中复数
图片尺寸1280x1707
📈傅里叶级数深度解析:双边幅度与相位谱
图片尺寸5152x6813
无忧文档 所有分类 测试技术习题课
图片尺寸1080x810
信号的相位谱和信号的幅度谱一样,是信号的
图片尺寸432x253
双边幅度谱与双边相位谱考研复习大全
图片尺寸1280x1707
相位差与相移
图片尺寸1069x409
级别函数应该怎么画相位谱和幅度谱三角形式的傅里叶级数频率为非负的
图片尺寸540x328
振动相位分析
图片尺寸1024x683