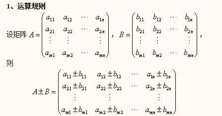
矩阵行列式

如图可以用行列式的性质化简计算.请采纳,谢谢!祝学习进步!
图片尺寸614x449
1矩阵和行列式区别
图片尺寸1910x868
net基础数学类库使用(15)c#计算矩阵行列式
图片尺寸464x223
矩阵和行列式复习
图片尺寸920x1302
两个矩阵相减后的行列式怎么求?
图片尺寸447x234
2011-2012高等数学(22)行列式,矩阵概念与简单运算ppt
图片尺寸1080x810
矩阵的概念
图片尺寸1431x804
4 n阶矩阵乘积的行列式
图片尺寸1080x810
【二手9成新】行列式和矩阵 /上海中小学课程教材改革委员会 上海教育
图片尺寸360x360
矩阵与行列式有什么区别
图片尺寸855x596
矩阵分块在行列式计算中的运用
图片尺寸1508x2133
矩阵的逆的行列式
图片尺寸640x439
数学基础系列(四)----拉格朗日乘子法,行列式,矩阵基础
图片尺寸787x586
线性代数问题:块矩阵行列式.
图片尺寸450x262
线性代数 --- 三种计算矩阵的行列式的方法之一 拉普拉斯展开法
图片尺寸781x455
ch2_4(n阶矩阵乘积的行列式)
图片尺寸1080x810
a12 a 22 a11a 22 a12 a 21 a11 a12 的行列式, 称为矩阵 a
图片尺寸1080x810
四阶矩阵的行列式
图片尺寸744x992
行最简形矩阵 经过初等行变换,行阶梯形矩阵还可以进一 步化为行最
图片尺寸1080x810
问一道矩阵的题目,只会用算5阶行列式的麻烦方法,求化简矩阵的做法
图片尺寸738x677