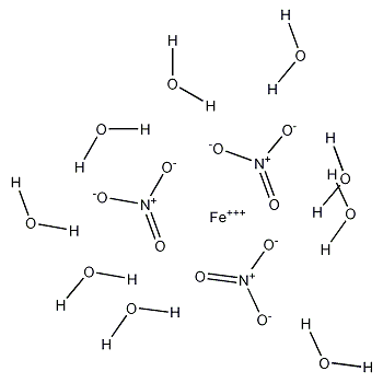
硝酸铁分子式

p>硝酸(nitric acid)是一种具有强 a target="_blank" href="/item
图片尺寸580x387
硝酸铁|ferric nitrate nonahydrate|7782-61-8|参数,分子结构式,图谱
图片尺寸205x165
硝酸铁结构式
图片尺寸484x300
硝酸铁(订货以英文名为准)别名:硝酸铁cas:10421-48-4分子式:fen61o
图片尺寸600x600
硝酸铁
图片尺寸400x400
硝酸的结构式
图片尺寸800x320
九水硝酸铁
图片尺寸605x375
九水硝酸铁
图片尺寸300x300
硝酸铁(iii; 硝酸铁(iii),九水合物; 九水硝酸铁;cas:7782-61-8分子
图片尺寸600x600
液体硝酸铁
图片尺寸605x375
硝酸标准溶液
图片尺寸800x800
九水硝酸铁
图片尺寸350x350
硝酸铁九水
图片尺寸605x375
九水硝酸铁
图片尺寸268x268
九水硝酸铁
图片尺寸268x268
azide/diazo
图片尺寸2075x1008
图4(a)展示了九水合硝酸铁(fe(no3)3·9h2o)作为前体,尿素(co(nh2)2)
图片尺寸1080x595
硝酸铁(九水)结构式
图片尺寸250x250
硝酸铁
图片尺寸300x300
超声法制备负载cufe分子筛催化前催化氧化甲苯性能提升了
图片尺寸640x461